北京大学学报(自然科学版) 第61卷 第4期 2025年7月

Acta Scientiarum Naturalium Universitatis Pekinensis, Vol. 61, No. 4 (July 2025)

doi: 10.13209/j.0479-8023.2025.053

国家自然科学基金(8200908846)资助

收稿日期: 2024–05–13;

修回日期: 2024–05–22

水溶液中氯化钾均一成核机理修正

章美希 孙樯

北京大学地球与空间科学学院, 北京 100871; † 通信作者, E-mail: qiangsun@pku.edu.cn

摘要 为了解盐水溶液中离子的均一成核机制, 对过饱和 KCl 溶液进行分子动力学(MD)模拟。模拟结果表明, K+和 Cl趋向于在溶液中聚集, 形成离子聚合体。当聚合体达到临界尺寸时, 其中可能出现 KCl 晶核。使用METAD 方法重建成核过程中的自由能表面(FES), 证明离子聚合无需克服势垒, 这与两步式(2-Step)成核机制有所不同。结构分析结果表明, 聚合体的形成可能与疏水作用相关。因此, 提出修正的经典成核理论(rev-CNT)来理解水溶液中 KCl 均一成核机制。

关键词 氯化钾(KCl); 均一成核; 聚合体; 疏水作用; 氢键

成核是体系自发聚集或自发有序形成新的相或结构的第一步, 水溶液中的成核现象广泛存在于自然界。溶质在不同温度、压力和化学环境下成核行为的差异将导致不同的结晶相, 同时成核过程也与生物制药、半导体制作等工业生产过程息息相关[1]。因此, 学者对水溶液中的成核行为进行了大量实验与模拟研究, 以期阐明水溶液中的成核机制。

经典成核理论(classical nucleation heory, CNT)是最早出现的基于实验现象的成核理论。1926—1943 年, 基于对水蒸汽凝结过程的热力学与动力学描述, Volmer 等[2]、Frenkel[3]、Becker 等[4]和 Zel-dovich[5]逐步完善了经典成核理论, 并且拓展至固–液平衡体系及熔体、溶液结晶等体系。根据经典成核理论, 在温度、压力恒定时, 成核前后能量变化ΔG 的计算公式为

width=87.6,height=14.95 (1)

其中, μ 表示相变的化学势, ΔN 表示发生相变的原子数量, γ 表示相边界的表面张力, ΔA 表示界面面积在相变过程中的变化; −μΔN 表示相变过程中分子聚集带来的势能变化, γΔA 表示相边界带来的表面能变化。假设晶核为球体, 可建立 ΔN 和 ΔA 与晶核半径r 的关系, 进而得到 ΔG(r)最大值(势垒)对应的临界晶核的大小。

随着观测手段的进步, 许多实验方法被用于研究液体中晶体成核的热力学和动力学, 如透射电镜(TEM)以及原子力显微镜(AFM)小角度电子散射(SAXS)等[6–10], 并在盐溶液[11]、生物成矿[12–15]和大分子[16]等体系中发现成核前聚合体。在二硅酸锂玻璃和铝硅酸盐玻璃中, 都有证据表明存在亚稳态[17–18]。碳酸钙成核前的中间态无定形碳酸钙(amorphous carbonate cluster, ACC)已见诸文献[10,12–15], 这种无定形碳酸钙与碳酸钙的不同晶型有关。

迄今为止, 学者提出各种理论来解释成核过程中的中间阶段。文献[19–22]中提出溶液中晶体成核的两步机制: 第一步为形成非晶态聚合体, 第二步为非晶态聚合体中出现晶核。相比经典理论的直接成核机制, 这一路径克服的自由能势垒更低, 因此广泛应用于解释胶体[23]及水溶液[20]中的晶体成核过程。奥斯特瓦尔德相律(Ostwald’s step rule)建立了多晶相成核路径, 指出在不稳定系统转变为稳定系统的过程中, 系统不会直接进入最稳定的构象, 而是倾向于达到与初始状态自由能最接近的中间阶段[24]。对于成核, 最先形成的并非热力学最稳定的结晶相, 而是与溶解性自由能最接近的中间态[25]

许多学者对卤化离子在水溶液中的均一成核机制进行了研究, 在对NaCl的研究中, 同样发现作为成核中间路线的离子聚合, 并认为这一路径符合两步式成核理论的推测[26–27]。在对KCl从溶液中成核机理的研究[28–32]中, 最早 Hamza 等[28]的研究显示, 过饱和溶液中会形成 KCl 簇。分子动力学(molecu-lar dynamic, MD)模拟结果表明, 较高的局部离子密度下, 成核开始于一连串的离子堆积[30,32]。Peng 等[32]对中等过饱和(约 6M)KCl 溶液的分子动力学模拟结果表明, 在成核前的早期阶段, 会形成高密度的离子团簇。Ahmadi 等[30]在 293K 和 1bar(1bar =100kPa)条件下对过饱和水溶液中 KCl 晶体成核的分子动力学模拟中, 观察到成核早期局部离子密度较高的现象, 并采用经典成核理论解释这种现象。Zheng 等[31]利用经典的原生成核理论研究 KCl 结晶的均相和异相成核机制, 聚焦于存在晶种时的晶体生长, 但未对原生成核过程做更多的讨论。

前人在水溶液 KCl 成核实验中观察到成核前聚合体的广泛存在, 并使用经典成核理论或两步式成核理论解释聚合体的形成机制。另一方面, 尽管实验研究中观察到水分子参与成核, 却未系统地探讨水对成核的作用, 缺乏对成核体系的全面分析。本研究利用分子动力学模拟方法, 研究水溶液中 KCl的均一成核过程, 并提出修正的经典成核理论(revi-sed classical nucleation theory, rev-CNT)来解释 KCl均一成核机制。

1 模拟方法

1.1 分子动力学模拟

本研究采用 GROMACS (2020 版)[33–34]软件包进行分子动力学模拟, 研究 KCl 在溶液中的成核机制。298K 和 1bar 条件下, KCl 在水中的溶解度(摩尔分数)为 3.47M, 因此设置浓度为 4M 的 KCl 过饱和溶液体系, 其中包括 3453 个水分子(H2O)、301个钾离子(K+)和 301 个氯离子(Cl)。模拟过程中, 水使用 SPC/E 模型[35], 参数见表 1; K+和 Cl离子间相互作用使用 OPLS-AA 力场[36–38], Lennard-Jones参数见表 2。

初始模拟盒子尺寸为 5Å×5Å×5Å。使用 velo-city rescaling 算法控制温度, 耦合常数为 0.11ps, 温度设定为 300K。使用 Berendsen 压力平衡器保持恒压[40–41], 耦合常数为 2ps, 水等热压缩系数为 4.5 ×10−4, 压力设定为 1bar。Lennard-Jones 相互作用以 1.0nm 为截断点。使用粒子网格 Ewald 方法计算长程静电力[42]。在 3 个方向都采用周期性边界条件。模拟时间为 120ns, 时间步长为 2fs (1fs=10⁻¹⁵s)。此外, 对模拟结果通过 vmd v1.9.3[43]和 Plumed v2.6.6[44]软件包进行分析。

表1 SPC/E模型参数[35]

Table 1 SPC/E parameters[35]

参数项数值参数项数值 σ3.166 Å∠HOH109.47° ε0.650 kJ/molqO−0.8476e rOH1.000 ÅqH|qO|/2

说明: σ ε为 Lennard-Jones 参数, 分别表示两个相似分子之间势能最小时的间距和势井深度; rOH 表示 O—H 键长; ∠HOH 表示水分子键角; qO 表示氧原子电荷; qH 表示氢原子电荷, 在 SPC/E 模型中为|qO|/2, 使水分子保持电中性。

表2 分子动力学模拟中 O, H, K+和 Cl所用Lennard-Jones参数[39]

Table 2 The Lennard-Jones parameters of O, H, K+ and Cl during the MD simulations [39]

原子或离子σ/Åε/(kJ·mol−1)电荷 O3.1660.6501−0.8476e H00+0.4238e K+4.9350.0014+1e Cl−4.4170.4928−1e

1.2 键序参数(order parameters)

键序参数 q 是表征原子结构和成核过程中结晶顺序的常用分析参数, 用于识别不同原子空间构 型[45]q 值反应原子周围粒子间成键方向的空间对称程度, 与离子间距离无关, 取值范围为 0~1。

我们把根据球谐函数阶数, 使用三阶、四阶、六阶球谐函数计算得的单个原子 i 相对于第一配位层中 j原子的键序参数, 分别记为 q3, q4 和 q6, 计算公式[45]

width=108,height=37.35 (2)

其中, qnm(i)为由 n 阶球谐函数计算得到的原子 i 的键序参数, Ynmn 阶球面谐波, m 的取值范围为−nn, 在 q3 中为−3~3, q4 中为−4~4, q6 中为−6~6; σ(rij)函数为转换函数, 作用于原子 ij 之间的距离 rij。计算时, 需选择转换函数类型, 并设置该函数的参数, 以便当原子位于原子的第一配位层时, 该函数值为1, 反之则为 0。通过计算原子团中的所有键, 求平均值 Qn(i), 可以得到全局键序参数。Qn 与特定晶格构型的对应关系见表 3。

为追踪成核路径, 判断有序原子是否出现在聚集体中, 将局部平均(local average)变量与键序参数结合, 构造用于此类计算的变量 Local Qn (LQn)。特定原子的 LQn 衡量原子第一配位层中原子方向与中心原子方向的匹配程度, 通过计算系统中每个原子的 Si 值来实现:

表3 简单立方、面心立方、体心立方和六方最密堆积晶格构型的键序参数特征数值[46]

Table 3 Values of bond order parameters for simple cubic, face-centered cubic, body-centered cubic and he-xagonal close-packed lattice configurations [46]

对称性Q4Q6 sc0.763760.35355 fcc0.190940.57452 bcc0.082020.50083 hcp0.097220.48476 溶解态00

说明: sc, fcc, bcc 和 hcp 分别表示简单立方、面心立方、体心立方和六方最密堆积。

width=141.3,height=39.4 (3)

其中, Si 为系统中每个原子的球形截断范围内原子的键序参数平均值。转换函数参数与键序参数的计算方法同理, 应设置: 当原子 j 位于原子 i 的第一配位层时, 函数值为 1, 否则为 0。该表达式对相邻原子 ij 的键序参数点积求和, 因此可以衡量相邻原子的方向相关程度。

1.3 METAD (metadynamic)方法

自由能面是讨论热力学性质的重要概念, 它揭示大多数水溶液结晶成核过程的内在机理。本文通过元动力学方法[47–48]重建水溶液中 KCl 成核过程的自由能变化。元动力学方法属于增强采样技术之一, 通过确立反应坐标(collective variables, CVs), 构建与历史相关的偏置势 V(t)(即所选反应坐标高斯函数之和), 并将这一外部的历史依赖偏置势能添加至系统的哈密顿量中。当反应坐标 x 完成定义, 一个历史依赖的偏置势 VG(t)的计算公式[47]

width=144.7,height=33.3 (4)

其中, ω 为各个高斯函数的高度, σ 为宽度, x(t′)为高斯函数在离散时间 t′中的中心位置。每隔∆t, 与历史相关的势能更新一次。在模拟过程中, 势能会填充底层的自由能面, 帮助能量壁垒的跨越。模拟系统在自由能剖面变平, 即当系统沿 x 的运动变成扩散运动时, 达到收敛。收敛后, 自由能曲线不再发生变化, 只会由于持续添加高斯函数而出现整体偏移[49]。此时, 自由能表面(free energy surface, FES)表示为总偏置势的负数:

width=90.35,height=16.3 (5)

2 结果与讨论

2.1 中间态聚合体结构能量特征

对轻微过饱和(4M) KCl 溶液进行分子动力学模拟, 可以看到, 80ns 以前, 体系中离子发生广泛的聚合, 未观察到明显的晶格(图 1(a)), 这种高浓度水溶液中出现的离子聚合现象在文献[50–52]中皆有提及; 80~90ns, 聚合体内开始出现周期性结构; 82ns, 在黑色矩形框区域明显地观察到聚合体中出现包含约 30 个离子的晶核(图 1(b))。晶核在后续时间持续生长, 形成简单立方 KCl 晶体(图 1(c)和(d))。

径向分布函数揭示 KCl 溶液中离子对分布在成核前后的密度和周期性特征。记 A 原子周围 B 原子的径向分布函数为 gA-B。溶液中的离子对通常被分为接触离子对(contact ion pair, CIP)、溶质共享离子对(solvent-shared ion pair, SShIP)和溶质相隔离子对(solvent-separated ion pair, SSIP)。在 CIP 中, K+与Cl相互接触。在 SShIP 和 SSIP 中, K+和 Cl被水合层隔开, SShIP 与 SSIP 的区别在于, SShIP 中水合层共享相同的水分子, 而SSIP中不共享。离子对的类型显示离子的溶解状态, 而离子之间的距离可以表征不同的离子对。

如图 2 所示, 模拟初期(0~80ns)gK-Cl 在 3.05~ 3.25Å 存在一个尖锐峰值, 因 K—Cl 键长为 3.0345Å, 故第一个尖锐峰值代表 CIP, 表明 K+与 Cl间存在很强的静电吸引力, 溶液中产生一定数量的 K-Cl聚合。当 r>3.5 时, gK-Cl 出现两个宽缓的峰, 分别为 SShIP 和 SSIP, 表明离子长程分布具有溶解态特征, 体系中未形成晶核。CIP 峰面积显著高于 SShIP和 SSIP, 表明尽管溶液中不存在晶核, 依然有大量离子发生聚合。

80ns 后开始成核, 可分为两个阶段。第一阶段为 80~90ns, 最临近峰的半高宽显著增加, 表明离子在对应距离的球面上密度显著增加, 溶液中离子聚集形成更大的团簇。同时, 在 r>3.5 的远处未显示尖锐的长程峰, 表示体系依然不存在长程周期性结构, K-Cl 聚合体保持长程无序。因此, 成核前团簇总体上呈现局部密度较高但长程无序的特点。第二阶段为 90~120ns, gK-Cl 在 5.8, 7.1 和 9.6Å 出现长程峰位, 分别对应 30.5 倍、50.5 倍和 3 倍晶格常数距离, 为简单立方堆积周期性排列位点, 指示体系中出现长程有序结构。长程峰的产生指示晶核的出现。随着晶体生长, 更多的离子结晶使长程峰更高, 体系长程有序度提高, 同时晶体尺寸的增加导致检测到更远的峰位。

综上所述, 中间态离子聚合体具有较高的局部密度和部分去水化的离子结构, 但未表现出长程周期性结构。

键序参数可指示聚合体的局域对称性, 将 gK-Cl 所得 CIP 距离作为设置转换函数参数的依据, 计算体系与成核区域的键序参数时间序列, 结果如图3 所示。在 0~80ns 区间, 键序参数在较低的水平稳定波动, LQ4 约为 0.35, LQ6 约为 0.27, 参照表 3 可知, 该水平的 LQ4 与 LQ6 值对应溶解态的氯离子和钾离子。初态 KCl 溶液输出的键序参数非 0, 指示第一配位层内有溶质离子, 体系内发生局部聚合。相对于 KCl 的简单立方晶型, 键序参数计算值较低, 且不与任何空间对称型相对应[46], 指示的聚合 K-Cl离子对不具备空间对称性, 证明聚合是非晶态的。

80~100ns, LQ4 从初始状态的约 0.35 上升至约0.65, LQ6 从约 0.29 上升至约 0.36。结合表 3 可知, KCl 从溶解态转变为简单立方晶体。将 LQ 上升的时段与不同模拟时间下的离子分布图(图 1(b))进行对照, 可见局部键序参数的升高对应着成核。由于局部键序参数升高代表局部对称性增强, 证明成核发生在局部的聚合体中, 而非所有原子同时有序化, 共同形成晶体构型。

通过对 KCl 过饱和水溶液成核过程中 gK-Cl 和键序参数的分析, 可以确定水溶液中 KCl 成核过程分为两个阶段: 第一阶段, 离子聚集, 形成聚合体, 聚合体没有晶格结构; 第二阶段, 聚合体中出现稳定的晶核, 并持续生长。

键序参数反映成核进程, 可以合理地作为表征成核进程的指标。以 LQ4 为反应坐标, 通过 METAD方法重建成核过程的自由能面(图 4)。势能曲线中存在两个低势能区, 其中局域对称性较低的低势能区对应 LQ4≈0.32, 结合 LQ4 与模拟时间的对应关系(图 3), 这一低势能区对应离子在溶液中部分聚合; 另一低势能区对应 LQ4≈0.70, 根据图 3 中 LQ4与时间的对应关系以及简单立方键序参数约为 0.76 (表 3), 可知这一低势能区对应体系最终的结晶态。

值得注意的是, 在成核过程中, 体系仅需克服一个势垒(图 4)。成核过程中自由能表面沿 LQ4 的势能曲线显示, 自由能表面第一极小值位于 LQ4≈ 0.32 处, 对应体系溶解态, 第二极小值(也是最低值)位于 LQ4≈0.69 处, 参照表 3, 可知这一LQ4数值对应 KCl 晶体。势垒对应 LQ4=0.49, 结合图 1 与图3, 这一区间对应聚合体向结晶相的转变, 表明离子聚集体的形成无需克服势垒, 与近期对 NaCl 的成核模拟结果[53]吻合。

2.2 成核过程中的氢键结构转化

对卤素盐溶液的研究表明, 溶质的加入导致局域氢键由受体主导的四面体氢键向供体型氢键转化[54–57]。基于超快(飞秒)双色中红外光谱的关于离子对水溶液结构和动力学影响的研究表明, 溶解的离子主要对第一水合层中水分子的振动和取向弛豫时间有显著影响, 第一水合层以外水分子的动力学特征与液态水相似[58–61]。X 射线吸收谱[62]和光学克尔效应光谱[63]等实验研究同样证明了这一点。对卤化物溶液的分子动力学模拟表明, 卤素–碱金属盐在液态水中引起的 O—H 振动光谱的变化来源于离子电场对相邻水分子的作用[64]。广角 X 射线衍射(large angle X-ray scattering, LAXS)分析和双差分红外光谱(double difference infrared spectroscopy, DDIR)显示 K+和 Na+都是弱水合, 只有一个水合层[65]。因此可以认为, 溶解的 KCl 对水结构的影响主要表现为影响第一水合层中的水分子。因此, 可将水分子是否与离子相互接触作为区分具有不同局域氢键的水的依据。

width=221.45,height=221.45

粉色球代表 K+, 绿色球代表 Cl; 不透明球代表发生聚合的离子, 半透明球代表未发生聚合的溶解离子; 红色虚线代表氢键。(a)~(d)分别为 80, 82, 86 和 90 ns; 在(b)中黑色矩形框区域可观察到成核前聚合体

图1 不同模拟时间下的离子分布图像

Fig. 1 Configurations at different simulation time

width=215.3,height=221.45

图2 KCl溶液(浓度为4 M)在成核过程中的gK-Cl

Fig. 2 gK-Cl of KCl solutions (concentration=4 M) in the process of nucleation

width=207.15,height=156.25

图3 基于K+和Cl的LQ4和LQ6时间序列

Fig. 3 Changes of LQ4 and LQ6 parameters of solute ions during the simulation based on K+, Cl

width=212.6,height=207.15

体系内参考快照从左至右来自 51.80, 85.58 和 111.32ns; 用于追踪成核过程的离子显示为不透明球, 其他离子显示为半透明球

图4 KCl晶体成核过程中自由能表面沿LQ4势能曲线的分布

Fig. 4 FES as the function of LQ4 in the nucleation process of KCl crystal in the solutions

为把握局域氢键网络结构的变化特征, 需要给出不同种类的局域氢键的判定方法。本研究采用的几何准则为 R-β (3.5-30), 即键角 β 小于 30°, 键长小于 3.5Å时, 形成氢键。K+和 Cl对局域氢键的影响主要来源于离子与第一水合层中水分子的相互作用,因此按照与离子的接触关系, 将水分子分为两类: 一类是不与离子接触的体积水(一般形成四面体氢键), 另一类是与离子接触的的界面水(一般形成供体型氢键)。根据 K+和 Cl与水分子中 H 原子的径向分布函数(gK-Hw 和 gCl-Hw), 以 3.4Å 为截断距离, 可以同时选择与 K+和 Cl接触的水分子(图 5)。

分别统计 K+和 Cl成核过程中界面水分子的数量(图 6(a))以及总水、界面水、体积水的平均氢键数(每个水分子的平均氢键数量)(图 6(b))。成核开始后, 界面水数量明显下降, 指示体系中局域氢键的转化趋势, 即二维氢键逐渐下降, 三维局域氢键上升。另一方面, 对于单个水分子的局域氢键, 尽管界面水的平均局域氢键以及体积水的平均局域氢键表现出不同程度的下降, 体系总平均氢键依然随着成核进程逐步上升。这是由于体系中局域氢键不断转化, 体积水向界面水转化导致的。因此, 平均氢键的增加可以归因于体积水氢键与界面水氢键之间的结构竞争。在 NaCl 水溶液的结构分析中, 同样发现体积水和界面水的竞争与氢键转化有关[54]

width=207.15,height=221.45

图5 KCl 溶液中 50ns 时的 gK-Hw 和 gCl-Hw (取 1ns 内平均值)

Fig. 5 gK-Hw and gCl-Hw of KCl solutions at 50 ns (averaged over 1 ns)

2.3 优化的经典成核理论

以往在 KCl 的实验与模拟中直接或间接观察到的成核前聚合体[30,32,66], 本研究的模拟结果中同样存在。通常将 KCl 的成核路径归结为经典成核理论的离子加积或非经典成核理论的先形成聚合体后形成晶核, 然而根据 KCl 成核的分子动力学模拟结果, 两者皆有无法解释的现象。

首先, 经典成核理论(CNT)认为, 晶核更有可能来自连续的溶质加积, 直到体积势能与表面能之和越过势垒, 体系的 Gibbs 自由能开始衰减, 体系趋于结晶为止。其中, 体积势能有利于成核, 表面能抑制成核[1]。然而, 对比经典理论, 模拟过程中晶核并非来自溶质的加积。溶液中的离子广泛地自发聚合, 并在非晶态的聚合体中产生晶核, 与经典理论描述的直接结晶路径冲突。

其次, 非经典成核理论中的多步式成核理论认为成核过程中的自由能变化需克服两个势垒, 第一势垒为溶液形成高密度聚合体, 第二势垒为聚合体中形成晶核[19]。根据元动力学重建 FES, KCl 成核能量曲线仅存在一个势垒, 未表现双峰特征, NaCl体系的成核模拟结果展现相似的单势垒特征[67], 证明 KCl 成核过程的中间态聚合体并非多步式理论所预测的, 存在势垒的新相, 而是自发产生的, 无势垒的中间聚合。

KCl 成核过程中的势垒位置也与两步式成核理论不符。两步式成核理论认为, 溶液中离子由溶解态形成中间态聚合体是成核过程的主要势垒[20], 而对 KCl 的成核过程而言, 其主要势垒并非存在于溶解态与聚合体之间, 而是存在于聚合体向晶核的转变过程中。K+和 Cl聚集为离子聚集体的过程中不需要克服势垒。

Ostwald 相律同样被用于解释成核过程的中间态[68–69]。根据 Ostwald 相律, 成核路径沿着热力学中与当前晶相最接近的晶相向最终产物逐步转移, 即成核路径经由多种晶相。然而, 水溶液中 KCl 成核的模拟结果表明, KCl 聚合体中的离子排布不具有长程周期性或空间对称性, 即并非结晶相, 因此不符合 Ostwald 相律描述的成核路径。

一种常用于解释溶液中离子发生高密度与低密度分化的理论为旋节线理论[70], 用于描述液相自发分离为高密度与低密度两相, 但未发生成核[71], 常见于金属或聚合物[72]。旋节线理论未对相分离的动力学机制做出解释, 典型的失稳相分离存在液–液相边界, 而 KCl 聚合体与溶液间不存在相边界, 高密度相的空间分布特征也与失稳相分离常见的特征性交织结构不符, 因此难以使用旋节线理论解释KCl 的聚合体成因。

width=215.3,height=212.6

竖线示意成核开始时间

图6 KCl 晶体成核过程中体积水与界面水的水分子数量时间序列以及体积水、界面水和全局平均局域氢键数量的时间序列

Fig. 6 The evolution in number of water molecules in interfacial and bulk water during the nucleation process and the changes of local hydrogen bon-ding number in interfacial and bulk water (ave-rage number of hydrogen bonds per water mole-cule) during KCl nucleation in water

由于无法使用经典或非经典成核理论解释 KCl成核前聚合体, 需要对 KCl 成核过程中聚合体的形成机制提出新的解释。为了描述势垒, 考虑体系在成核前后的整体变化, 按照成键离子类型, 可以分为 3 项:

width=117.5,height=14.95 (6)

其中, 第一项 ΔGs-s 为成核理论势垒, 第二项 ΔGs-w为溶质形成聚合体时由疏水作用贡献的自由能, 第三项 ΔGw-w 为溶剂内氢键结构转化贡献的自由能。其中第二、三项与界面水转化为体积水的水分子数有关, 而水分子数与离子表面相关, 将 ΔGs-w 与ΔGw-w 之和记为 ΔGH, 表示为

width=131.1,height=14.95 (7)

width=221.45,height=76.75

氢键最大化促使界面水(红色)向体积水(蓝色)转化, 溶质离子(圆圈)因疏水作用聚合, 随后在聚合体中出现晶核(圆点)

图7 水溶液中溶质均相成核机制示意图

Fig. 7 Homogeneous nucleation mechanism of dissolved solutes in water

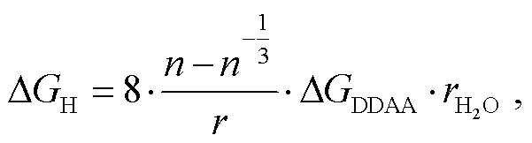
其中, nInterfacial→bulkwater 为溶质聚集过程中发生局域氢键转化的水分子数, ΔGDDAA 为四面体氢键吉布斯能。将聚合体视为球体, 则 ΔGH 的计算公式[67]

width=131.1,height=35.3 (8)

其中, r为溶质离子半径, width=17.65,height=17为水分子半径。

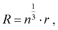
由式(8)可知, 溶质越多, 疏水作用越强。在聚合体形成后, 疏水作用继续促进离子在聚合体表面加积, 聚合离子数量增多, 进一步加强疏水作用, 形成正反馈机制。聚合体半径 R 与溶质离子半径 r的关系为

width=44.15,height=23.1 (9)

随着离子不断聚合, 聚合体半径增大, 其中半径最大的聚合体最容易超过临界尺寸, 形成晶核。

根据均一成核分子动力学模拟所得成核路径以及液态水在成核过程中的结构变化特征, 本文提出修正的经典成核理论, 将 KCl 成核路径表述如下: 随机分布的 K+和 Cl→聚合体→聚合体内部形成晶核(图 7)。水溶液中形成聚集体的过程中, 水起着至关重要的作用。在聚合体形成过程中, 界面水倾向于向体积水转变, 以便氢键最大化, 从而在结构上使离子趋于聚合, 即离子因氢键最大化趋势更容易形成团簇, 表现为模拟过程中观察到的非饱和溶液和饱和溶液成核前离子的广泛聚合, 从结构上促进成核前聚合体的形成。疏水作用使离子聚集过程无需克服势垒。

3 结论

本研究利用分子动力学模拟方法探讨 KCl 在溶液中的成核机制, 得到以下结论。

1)在模拟过程中, 溶解的 K+和 Cl趋于在溶液中聚集, 形成离子集合体。当聚集体达到临界尺寸时, 其中可能出现 KCl 晶体。水在离子聚集体的形成过程中起着重要作用, 聚合体的形成可能是由于疏水效应, 即为了最大限度地重建水的氢键, 离子在水中倾向于聚合。

2)与两步式成核理论描述的聚合体势垒不同, 根据计算得到的 FES, 在水溶液中形聚合体时, 无需克服势垒。离子聚合体的形成降低了成核过程中的势垒高度。

3)由于氢键最大化促进溶液中离子聚集, 降低了成核的势垒高度, 因此, 本文提出的改良的经典成核理论(Rev-CNT)可以解释水溶液中 KCl 的成核 机制。

参考文献

[1] Kashchiev D. Nucleation: basic theory with applica-tions. Oxford: Butterworth-Heinemann, 2000

[2] Volmer M, Weber A. Keimbildung in übersättigten Ge-bilden. Zeitschrift für physikalische Chemie, 1926, 119 (1): 277–301

[3] Frenkel J. A general theory of heterophase fluctuations and pretransition phenomena. The Journal of Chemical Physics, 1939, 7(7): 538–547

[4] Becker R, Döring W. Kinetische behandlung der keim-bildung in übersättigten dämpfen. Annalen der Physik, 1935, 416(8): 719–752

[5] Zeldovich Y B. On the theory of new phase formation: cavitation. Acta Physicochem, USSR, 1943,18: 120–137

[6] Zheng H, Smith R K, Jun Y, et al. Observation of single colloidal platinum nanocrystal growth trajectories. Sci-ence, 2009, 324: 1309–1312

[7] Abécassis B, Testard F, Spalla O, et al. Probing in situ the nucleation and growth of gold nanoparticles by small-angle X-ray scattering. Nano Letters, 2007, 7(6): 1723–1727

[8] Abécassis B, Testard F, Kong Q, et al. Influence of monomer feeding on a fast gold nanoparticles synthe-sis: time-resolved XANES and SAXS experiments. Langmuir, 2010, 26(17): 13847–13854

[9] Liu L, Zhang S, Bowden M E, et al. In situ TEM and AFM investigation of morphological controls during the growth of single crystal BaWO4. Crystal Growth & Design, 2017, 18(3): 1367–1375

[10] Gebauer D, Kellermeier M, Gale J D, et al. Pre-nuclea-tion clusters as solute precursors in crystallisation. Chemical Society Reviews, 2014, 43(7): 2348–2371

[11] Nielsen M H, Aloni S, De Yoreo J J. In situ TEM ima-ging of CaCO3 nucleation reveals coexistence of direct and indirect pathways. Science, 2014, 345: 1158–1162

[12] Gebauer D, Volkel A, Colfen H. Stable prenucleation calcium carbonate clusters. Science, 2008, 322: 1819–1822

[13] Pouget E M, Bomans P H, Goos J A, et al. The initial stages of template-controlled CaCO3 formation revea-led by cryo-TEM. Science, 2009, 323: 1455–1458

[14] Demichelis R, Raiteri P, Gale J D, et al. Stable prenuc-leation mineral clusters are liquid-like ionic polymers. Nature Communications, 2011, 2(1): 590–597

[15] Rodriguez-Navarro C, Kudłacz K, Cizer Ö, et al. For-mation of amorphous calcium carbonate and its trans-formation into mesostructured calcite. Cryst Eng Comm, 2015, 17(1): 58–72

[16] Sleutel M, Lutsko J, Van Driessche A E, et al. Obser-ving classical nucleation theory at work by monitoring phase transitions with molecular precision. Nature Communications, 2014, 5(1): 5598–5605

[17] Iqbal Y, Lee W E, Holland D, et al. Metastable phase formation in the early stage crystallisation of lithium disilicate glass. Journal of Non-Crystalline Solids, 1998, 224(1): 1–16

[18] Dargaud O, Cormier L, Menguy N, et al. Multi-scale structuration of glasses: observations of phase separa-tion and nanoscale heterogeneities in glasses by Z-contrast scanning electron transmission microscopy. Journal of Non-crystalline Solids, 2012, 358(10): 1257–1262

[19] Erdemir D, Lee A Y, Myerson A S. Nucleation of crystals from solution: classical and two-step models. Accounts of Chemical Research, 2009, 42(5): 621–629

[20] Vekilov P G. The two-step mechanism of nucleation of crystals in solution. Nanoscale, 2010, 2(11): 2346–2357

[21] Vekilov P G. Two-step mechanism for the nucleation of crystals from solution. Journal of Crystal Growth, 2005, 275(1/2): 65–76

[22] Pan W, Kolomeisky A B, Vekilov P G. Nucleation of ordered solid phases of proteins via a disordered high-density state: phenomenological approach. The Journal of Chemical Physics, 2005, 122(17): 174905

[23] Gasser U, Weeks E R, Schofield A, et al. Real-space imaging of nucleation and growth in colloidal crystalli-zation. Science, 2001, 292: 258–262

[24] Ostwald W. Studies on formation and transformation of solid materials. Z Phys Chem, 1897, 22: 289–330

[25] Stranski I N, Totomanow D. Rate of formation of (cry-stal) nuclei and the Ostwald step rule. Z Phys Chem, 1933, 163: 399–408

[26] Giberti F, Tribello G A, Parrinello M. Transient poly-morphism in NaCl. Journal of Chemical Theory and Computation, 2013, 9(6): 2526–2530

[27] Chakraborty D, Patey G N. Evidence that crystal nucl-eation in aqueous NaCl solution occurs by the two-step mechanism. Chemical Physics Letters, 2013, 587: 25–29

[28] Hamza M A, Berge B, Mikosch W, et al. Homogeneous nucleation of supersaturated KCl-solutions from single levitated microdroplets. Physical Chemistry Chemical Physics, 2004, 6(13): 3484–3489

[29] Sindt J O, Alexander A J, Camp P J. Structure and dynamics of potassium chloride in aqueous solution. The Journal of Physical Chemistry B, 2014, 118(31): 9404–9413

[30] Ahmadi S, Wu Y, Rohani S. Molecular dynamics si-mulation of homogeneous nucleation of supersaturated potassium chloride (KCl) in aqueous solutions. Cryst Eng Comm, 2019, 21(48): 7507–7518

[31] Zheng D, Xu M, Wang J, et al. Nonisothermal crystal-lization kinetics of potassium chloride produced by stirred crystallization. Journal of Crystal Growth, 2023, 603: 127035

[32] Peng H, Gudgeon J, Vaughan J. Nucleation phenomena of supersaturated KCl solutions revealing by molecular dynamic simulation: implication of dehydration shell process. Journal of Molecular Liquids, 2019, 283: 108–115

[33] Berendsen H J, van der Spoel D, van Drunen R. GRO-MACS: a message-passing parallel molecular dyna-mics implementation. Computer Physics Communica-tions, 1995, 91: 43–56

[34] van der Spoel D, Lindahl E, Hess B, et al. GROMACS: fast, flexible, and free. Journal of Computational Che-mistry, 2005, 26(16): 1701–1718

[35] Berendsen H, Grigera J, Straatsma T P. The missing term in effective pair potentials. Journal of Physical Chemistry, 1987, 91(24): 6269–6271

[36] Jorgensen W L, Tirado-Rives J. The OPLS force field for proteins. Energy minimizations for crystals of cyc-lic peptides and crambin. J Am Chem Soc, 1988, 110 (6): 1657–1666

[37] Jorgensen W L, Maxwell D S, Tirado-Rives J. Deve-lopment and testing of the OPLS all-atom force field on conformational energetics and properties of organic liquids. Journal of the American Chemical Society, 1996, 118(45): 11225–11236

[38] Robertson M J, Tirado-Rives J, Jorgensen W L. Im-proved peptide and protein torsional energetics with the OPLS-AA force field. Journal of Chemical Theory and Computation, 2015, 11(7): 3499–3509

[39] Koneshan S, Rasaiah J C, Lynden-Bell R M, et al. Sol-vent structure, dynamics, and ion mobility in aqueous solutions at 25℃. The Journal of Physical Chemistry B, 1998, 102(21): 4193–4204

[40] Berendsen H J, Postma J V, van Gunsteren W F, et al. Molecular dynamics with coupling to an external bath. The Journal of Chemical Physics, 1984, 81(8): 3684–3690

[41] Nosé S, Klein M L. Constant pressure molecular dyna-mics for molecular systems. Molecular Physics, 1983, 50(5): 1055–1076

[42] Di Pierro M, Elber R, Leimkuhler B. A stochastic algorithm for the isobaric-isothermal ensemble with Ewald summations for all long range forces. Journal of Chemical Theory and Computation, 2015, 11(12): 5624–5637

[43] Humphrey W, Dalke A, Schulten K. VMD: visual mole-cular dynamics. Journal of Molecular Graphics, 1996, 14(1): 33–38

[44] Bonomi M, Branduardi D, Bussi G, et al. PLUMED: a portable plugin for free-energy calculations with mole-cular dynamics. Computer Physics Communications, 2009, 180(10): 1961–1972

[45] Steinhardt P J, Nelson D R, Ronchetti M. Bond-orientational order in liquids and glasses. Physical Review B, 1983, 28(2): 784–805

[46] Wang Y, Teitel S, Dellago C. Melting of icosahedral gold nanoclusters from molecular dynamics simula-tions. The Journal of Chemical Physics, 2005, 122(21): 214722

[47] Laio A, Parrinello M. Escaping free-energy minima. Proceedings of the National Academy of Sciences, 2002, 99(20): 12562–12566

[48] Laio A, Gervasio F L. Metadynamics: a method to simulate rare events and reconstruct the free energy in biophysics, chemistry and material science. Reports on Progress in Physics, 2008, 71(12): 126601

[49] Barducci A, Bussi G, Parrinello M. Well-tempered me-tadynamics: a smoothly converging and tunable free-energy method. Physical Review Letters, 2008, 100(2): 20603

[50] Marcus Y, Hefter G. Ion pairing. Chemical Reviews, 2006, 106(11): 4585–4621

[51] van der Vegt N F, Haldrup K, Roke S, et al. Water-mediated ion pairing: occurrence and relevance. Che-mical Reviews, 2016, 116(13): 7626–7641

[52] Samal S, Geckeler K E. Unexpected solute aggregation in water on dilution. Chemical Communications, 2001, 37(21): 2224–2225

[53] Lamas C P, Espinosa J R, Conde M M, et al. Homo-geneous nucleation of NaCl in supersaturated solu-tions. Physical Chemistry Chemical Physics, 2021, 23 (47): 26843–26852

[54] Sun Q. Raman spectroscopic study of the effects of dissolved NaCl on water structure. Vibrational Spec-troscopy, 2012, 62: 110–114

[55] Sun Q, Zhao L, Li N, et al. Raman spectroscopic study for the determination of Cl concentration (molarity scale) in aqueous solutions: application to fluid inclu-sions. Chemical Geology, 2010, 272: 55–61

[56] Li R, Jiang Z, Guan Y, et al. Effects of metal ion on the water structure studied by the Raman O–H stretching spectrum. Journal of Raman Spectroscopy, 2009, 40 (9): 1200–1204

[57] Waluyo I, Huang C, Nordlund D, et al. The structure of water in the hydration shell of cations from x- ray Raman and small angle x-ray scattering measure-ments. The Journal of Chemical Physics, 2011, 134(6): 0644513

[58] Omta A W, Kropman M F, Woutersen S, et al. Negli-gible effect of ions on the hydrogen-bond structure in liquid water. Science, 2003, 301: 347–349

[59] Kropman M F, Bakker H J. Vibrational relaxation of liquid water in ionic solvation shells. Chemical Physics Letters, 2003, 370(5/6): 741–746

[60] Omta A W, Kropman M F, Woutersen S, et al. Influen-ce of ions on the hydrogen-bond structure in liquid wa-ter. The Journal of Chemical Physics, 2003, 119(23): 12457–12461

[61] Bakker H J, Kropman M F, Omta A W. Effect of ions on the structure and dynamics of liquid water. Journal of Physics: Condensed Matter, 2005, 17(45): S3215

[62] Cappa C D, Smith J D, Messer B M, et al. Effects of cations on the hydrogen bond network of liquid water: new results from X-ray absorption spectroscopy of li-quid microjets. The Journal of Physical Chemistry B, 2006, 110(11): 5301–5309

[63] Turton D A, Hunger J, Hefter G, et al. Glasslike beha-vior in aqueous electrolyte solutions. The Journal of Chemical Physics, 2008, 128(16): 161102

[64] Smith J D, Saykally R J, Geissler P L. The effects of dissolved halide anions on hydrogen bonding in li-quid water. Journal of the American Chemical Society, 2007, 129(45): 13847–13856

[65] Mahler J, Persson I. A study of the hydration of the alkali metal ions in aqueous solution. Inorganic Chemi-stry, 2012, 51(1): 425–438

[66] Villa A M, Doglia S M, De Gioia L, et al. Fluorescence of KCl aqueous solution: a possible spectroscopic signature of nucleation. The Journal of Physical Che-mistry B, 2022, 126(13): 2564–2572

[67] Sun Q, Cui S, Zhang M. Homogeneous nucleation me-chanism of NaCl in aqueous solutions. Crystals, 2020, 10(2): 107–122

[68] Ratke L, Voorhees P W. Growth and coarsening: ost-wald ripening in material processing. Heidelberg: Sp-ringer, 2002

[69] Threlfall T. Structural and thermodynamic explana-tions of Ostwald’s rule. Organic Process Research & Development, 2003, 7(6): 1017–1027

[70] Sarikov A, Lisovskyy I. Spinodal decomposition ver-sus nucleation and growth mechanism of phase separa-tion in nonstoichiometric silicon oxide films during high temperature annealing. Solid State Communica-tions, 2019, 287: 19–22

[71] Binder K. Theory of first-order phase transitions. Re-ports on Progress in Physics, 1987, 50(7): 783–859

[72] de Gennes P. Scaling concepts in polymer physics. London: Cornell University Press, 1979

Revised Homogeneous Nucleation Mechanism of KCl in Aqueous Solutions

ZHANG Meixi, SUN Qiang

School of Earth and Space Sciences, Peking University, Beijing 100871; †Corresponding author, E-mail: qiangsun@pku.edu.cn

Abstract Molecular dynamics (MD) simulations on supersaturated KCl solutions are conducted to understand the homogeneous nucleation mechanism of ions in aqueous solution. According to the MD simulation results, dissolved K+ and Cl ions tend to aggregate in solution. When the aggregates reach a critical size, KCl grains may crystallize inside the aggregates. The free energy surface (FES) during the nucleation process, calculated by the METAD method, demonstrates that the process of ion aggregation does not require the overcoming of a potential barrier, which is different from the two-step nucleation theory. Based on the structural analysis, the formation of aggregates may be closely related to hydrophobic effects. Therefore, the revised classical nucleation theory (rev-CNT) is proposed to understand the KCl homogeneous nucleation mechanism in aqueous solution.

Key words potassium chloride (KCl); homogeneous nucleation; aggregates; hydrophobic effect; hydrogen bond