北京大学学报(自然科学版) 第61卷 第2期 2025年3月

Acta Scientiarum Naturalium Universitatis Pekinensis, Vol. 61, No. 2 (Mar. 2025)

doi: 10.13209/j.0479-8023.2024.110

昆明市生态环境局“昆明市臭氧污染来源解析相关研究”项目(ZD20200007)、国家自然科学基金(42365001, 42065006)和中国气象局创新发展专项(CXFZ2025J130)资助

收稿日期: 2024–06–24;

修回日期:2025–01–17

昆明天气分型及其与臭氧污染日的关联分析

谢屹然1 陈云波2 段玮3,† 龚元均2 樊雯璇4

1.云南省气象台, 昆明 650034; 2.昆明市生态环境科学研究院, 昆明 650032; 3.云南省气象科学研究所, 昆明 650034; 4.云南大学, 昆明 650091; †通信作者, E-mail: duanwain@foxmail.com

摘要 运用自组织映射神经网络聚类(SOM)方法, 对昆明市 2017—2019 年间的大气环流进行大规模样本的客观分型研究。结合地面观测的臭氧浓度及臭氧日污染数据, 分析不同天气类型的气象条件及环流形势特点。结果显示, 昆明的大气环流场大致可分为 9 种类型, 各天气型的出现概率及季节变化存在显著差异。在不同的天气类型下, 昆明市臭氧污染日(O3-8h≥160µg/m³)的出现频率具有明显的倾向性差异。在所有臭氧污染日中, T2 型(滇西北高压脊型)和 T6 型(西行台风型)的出现频率最高, 分别占臭氧污染总日数的 30.8%和38.5%, 属于“污染天气型”; T4, T7 和 T8 型天气未出现过臭氧污染日, 属于“偏清洁天气型”; T1, T3, T5 和T9 型则为“偏污染天气型”。T2 与 T6 型在环流形势上具有明显差异。在 T2 型天气控制下, 昆明及整个云南地区都受高压脊前西风的支配, 而 T6 型天气为台风外围东风影响所致。这两种环流形势下, 昆明及云南地区均处于高压环流控制之下, 均易形成高温、低湿和强辐射等有利于臭氧浓度超标的气象条件。

关键词 昆明; 客观天气分型; 臭氧污染; 关联

大气环流对环境污染具有重要影响[1–2], 不同的环流形势会影响污染物的扩散、传输和转化过程。污染天气分型是通过分析和总结大气环流形势特征与污染物浓度的关系, 得到有利于或不利于某一地区污染天气出现的大气环流配置, 为空气质量预报预警以及研究污染的气象成因提供基础[3]

作为关键的大气污染物, 臭氧(O3)不仅对人类健康构成威胁, 亦对生态系统和农作物产生负面影响。大气环流对臭氧的影响颇为复杂, 涉及大气污染物的垂直分布、远距离传输、生成、聚集及扩散条件等多个方面。全球多个城市(包括北京和上海等)已开展关于臭氧污染与天气型关系的研究, 揭示了大气环流形势对臭氧污染的显著影响[4–6]。这些研究表明, 特定的天气型(如副高控制和低压系统)与臭氧污染事件的发生密切相关[7]

依据 Simon 等[8]对臭氧生成机理的分析, 气象要素及高 VOCs/NOx 比率为地面臭氧的形成提供了有利条件。此外, 高温环境增强了包括所有前体在内的化学反应速率, 通常会导致臭氧浓度上升。气压、相对湿度、云层覆盖以及太阳辐射等气象要素相互紧密联系, 共同作用于臭氧的化学过程[9]

综上所述, 国内外有关天气型与污染关系的研究已有不少成功的范例和经验, 但是天气形势在区域间差异巨大, 具有很强的地域属性。昆明地处低纬度高原腹地, 是中国西南地区的中心城市, 具有独特的地理位置和气候特征。昆明位于山间小盆地之中, 这种地形特征可能导致污染物在地表附近积聚, 不易扩散[10–12]。昆明的气候温和, 日照充足, 特别是在 3—5 月干热季和 8 月盛夏季的特殊天气形势下, 强烈的太阳辐射和高温可能加剧臭氧的生成, 从而增加臭氧污染的风险[13–14]

尽管昆明市空气质量多年优良率高达 98%以上, 但随着工业化和城市化的迅速发展, 国家对环保标准的提高以及民众对美好生活品质的追求, 维护昆明高标准的空气质量面临日益增长的压力。昆明市的臭氧浓度在某些时段已接近或超过国家空气质量轻微污染标准, 2019 年期间, 昆明曾遭遇连续 8 天的臭氧轻微污染现象。当前, 关于昆明臭氧污染与天气类型关系的研究相对匮乏, 给制定有效的臭氧污染防治策略带来挑战。

本研究以昆明地区为研究对象, 采用大气环流的客观分型方法, 并结合臭氧污染事件资料, 揭示影响昆明臭氧污染的典型环流配置。从气象学的视角, 分析不同环流类型下臭氧污染的形成原因及差异, 旨在为昆明臭氧污染的防治研究与实践提供科学支撑, 并为国内类似城市, 尤其是云贵高原及西南地区的臭氧污染防治提供参考。

1 数据和方法

1.1 数据

本研究所用资料涵盖中国环境监测总站整理的2017—2019 年昆明地区大气环境六要素(包括 O3, NO2, CO, SO2, PM10 和 PM2.5)的逐时浓度数据, 以及相应时段的气象资料(温度、气压、湿度和风向等)。昆明各监测站点分布及其周边地形如图 1 所示。

此外, 还包括昆明地区轻微污染日的公报资料, 以及同期欧洲中期天气预报中心(European Centre for Medium-Range Weather Forecasts, ECMWF)提供的 ERA5 再分析数据集。所用 ERA5 数据集涉及位势高度、温度、风向风速和臭氧混合比等参数, 其逐日逐时的次大气环流再分析资料具有每小时一次的时间分辨率和 0.25°×0.25°的空间分辨率。空间范围为 85°—115°E, 15°—35°N, 全面覆盖昆明市及其周边的大陆和海洋区域。

臭氧污染超标日指日间臭氧浓度(O3-8h)最大值超过 160µg/m3 的自然日。截至 2023 年 12 月 31 日, 昆明市臭氧污染日的水平仍属于轻微污染范畴, 故未对污染程度做进一步的分级。按常规季节划分,春季为 3—5 月, 夏季为 6—8 月, 秋季为 9—11 月, 冬季则为 12—翌年 2 月。

width=215.4,height=221.15

图1 昆明及周边地区 O3 和气象监测站点分布

Fig. 1 Distribution of O3 and meteorological monitoring stations in Kunming and its surrounding areas

1.2 研究方法

本文所用研究方法包括 SOM 天气分型[15–17]、天气学分析、HYSPLIT 模式[18]和潜在源贡献因子分析法(PSCF)等。

天气环流形势分型是依据大气环流的特定模式和特点对天气状况进行分类的方法, 分为主观和客观两类。主观分型主要依赖科技人员的认知与经验, 易受个人主观偏见影响, 不利于大样本分析及推广应用。客观天气分型通过计算数据矩阵的相似性与方差, 实现类型定义与案例分配, 有效地避免主观局限, 适用于大规模样本分析。本研究采用自组织映射神经网络聚类方法(self-organizing maps, SOM)。SOM 模型的理论核心在于, 神经网络在接收外部输入模式时, 能自动划分为不同的响应区域, 各区域对输入模式的响应特征各异。这一过程与人脑的自组织特性相似。典型的 SOM 网络由输入层和输出层构成, 分别模拟感知外界信息的视网膜与响应的大脑皮层。在初始阶段, 网络输出层的神经元通过竞争学习来获取输入层的响应机会, 经过训练, 只有一个神经元能够胜出。获胜神经元对相邻神经元的影响随距离增加而减弱, 由兴奋转为抑制, 与其相关的连接亦会通过调整来增强竞争力。在SOM 算法中, 不仅获胜神经元的权值得到调整, 其周围神经元的权向量也得到相应的调整。SOM 因其拓扑结构保持、概率分布保持、无监督学习、自组织及可视化等特点, 在语音识别、图像处理、分类聚类、组合优化以及数据分析与预测等多个信息处理领域得到广泛应用, 并在大气科学领域取得显著成效, 成为一种成熟且有效的天气分型技术[19]

HYSPLIT(hybrid single-particle Lagrangian in-tegrated trajectory model)模式由美国国家海洋和大气管理局(NOAA)研发, 是一种拉格朗日混合单粒子轨道模式, 能够精确地描述气团的空间运行轨迹, 广泛应用于大气污染物、水汽来源及扩散分析[20]

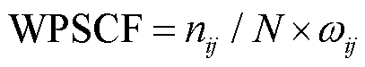
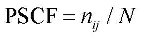
PSCF(potential source contribution function, 潜在源贡献因子)分析方法是一种用于识别大气污染物潜在源区的后向轨迹分析技术。PSCF 基于条件概率函数原理来识别可能的污染源位置[21–22], 计算在特定时间间隔内, 污染物质在某个网格单元内停留的轨迹数量与该网格单元内所有轨迹的比值, 从而评估该网格单元对目标区域污染的贡献。PSCF的计算公式为

width=62.2,height=16.35, (1)

其中, nij 是经过第(i, j)网格单元的所有轨迹端点的总数, N 是所有轨迹的总数。

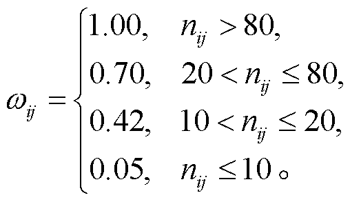
引入权重函数 ω 来降低由于单个网格内气流停留时间较短而引起的 PSCF 值波动, 加权后的 PSCF值可以表示为

width=88.8,height=16.35, (2)

width=110.8,height=64.05 (3)

权重函数 ωij 可以是 nij 的函数, 或是其他能够反映网格单元内轨迹端点重要性的变量的函数。计算流程如图 2 所示。

后向轨迹分析参数设定如下: 起始海拔高度定为 500m, 轨迹持续时间覆盖 24h, 每小时进行一次计算更新。本研究采用欧几里得聚类算法对气团轨迹进行分类。以昆明市作为参照点, 对后向气团轨迹进行推算及分类处理, 并展示聚类结果。

2 结果分析

2.1 昆明地区臭氧浓度变化基本特征

与地球公转和自转有关的自然变化均具有显著的年际、年变化(年内季节变化)和日变化(日内不同时段间变化特征, 含昼夜变化等)特征, 其中大气物理性质以及成分的相关变化尤为明显。标准 Trend Level 分析方法可为变量提供基于多个分类形式下的统计分析结果, 简洁清晰地展示不同时间尺度要素分析的丰富信息。图 3 给出多时间尺度(年际变化、年变化、日变化)下昆明地区臭氧浓度 8 小时滑动平均(O3-8h)的标准Trend Level 变化。

width=470.5,height=62.4

图2 HYSPLIT模式和WPSCF计算流程

Fig. 2 HYSPLIT model and WPSCF calculation process

昆明臭氧浓度的日变化范围介于 20~140µg/m3之间。受近地层臭氧生成机理影响, 夜间无阳光照射, 成为臭氧浓度的低谷时段, 通常在 08:00 左右出现全日最低值。随着日出后太阳辐射的逐渐增强, 臭氧浓度亦逐步上升, 大约在 14:00 至 15:00 达到全日峰值。同理, 在下午太阳辐射减弱的影响下, 臭氧浓度逐渐回落, 夜间完成一个完整的日变化周期。值得注意的是, 各地臭氧浓度峰值时间理论上应与当地天文太阳时的正午相对应。本研究中的时间分析基于北京时间(东八区, 120°E), 鉴于昆明位于 102°E, 故其臭氧浓度的峰值与谷值平均时间比东八区大约延后约 1 小时。

昆明臭氧浓度在四季差异显著, 总体上呈现双峰型变化特征。春季峰值一般出现在 3 至 5 月, 月平均浓度可超过 110µg/m3, 为年内主峰。尽管此时段并非太阳直射北半球, 但昆明及其周边的低纬高原地区太阳辐射强度最大, 干热气候特点最为明显。在盛夏的 8 月, 臭氧浓度会出现一个相对较弱的峰值。全年臭氧浓度变化范围在 50~120µg/m3 之间, 平均浓度约为 80µg/m3。盛夏期间, 尽管是昆明及其周边地区的雨季盛期, 不利于臭氧浓度保持高位, 但在特定天气环流及太阳直射北半球的影响下, 加上区域传输等因素, 臭氧浓度仍有可能显著升高。自 9 月起, 臭氧浓度逐渐降低, 至冬季 12 月达到年内最低, 月平均浓度约为 60µg/m3, 随后浓度逐步回升, 直至春季形成新的年度循环峰值。值得注意的是, 在某些年份的 7 月或 8 月, 可能会出现臭氧浓度弱峰值, 例如 2017 年呈现典型的单峰型年度变化。

昆明地区臭氧的年际变化也十分明显。从图 3可以看出, 2019 年臭氧污染浓度在各个时间尺度中居首位。此现象与当年云南初夏(4 至 6 月)期间遭受持续性高温天气密切相关, 云南部分地区发生极端气象干旱灾害。具体而言, 昆明市的日最高气温在 5 月 11—21 日连续 11 天超过 30°C, 高温伴随低相对湿度的气象条件, 为臭氧生成提供有利环境。此外, 造成此次持续性高温干旱现象的原因在于, 云南地区对流层的中、高层受到异常反气旋的显著控制, 而底层呈现明显的气旋性异常状态[23–24], 也有利于臭氧的向下传输和扩散。

2.2 昆明地区臭氧浓度与气象要素的相关性

臭氧浓度与气象要素之间的关系错综复杂, 其中温度、湿度、风向和风速是几个尤为关键的因 素[25–26]。这些气象要素通过影响臭氧的生成、消耗、传输和分布, 显著地调控大气中臭氧的浓度。研究表明, 气温是影响臭氧浓度的首要气象要素, 二者通常呈现显著的正相关性[27]。图 4 展示昆明地区臭氧浓度与气象要素的关系以及臭氧浓度超标形势下温度和湿度的分布。

昆明臭氧浓度与温度正相关, 相关系数为 0.55,与相对湿度则负相关, 相关系数为−0.77(图 4(a))。这说明高温有利于臭氧的生成与积累, 而相对湿度较高时会减缓光化学过程, 减少太阳辐射和降低气温, 抑制臭氧的产生。从臭氧浓度超标时次对应的温度和相对湿度来看, 温度高于 26℃以上, 相对湿度低于 40%, 易产生臭氧浓度超标(图 4(b))。风向和风速是臭氧传输和扩散的关键因子。昆明臭氧浓度与风向和风速都呈正相关关系, 特别是与风速呈强正相关关系, 相关系数为 0.54, 表明昆明臭氧浓度主要受外源输送影响。

2.3 天气分型及其基本特征

2.3.1 天气分型聚类结果

依据 2.1 节的分析结果, 昆明地区臭氧浓度于午后 14—16 时之间达到峰值。为匹配臭氧天气分型的分析, 对研究范围(85°—115°E, 15°—35°N)内 2017—2019 年共计 1095 天的逐日 14 时天气环流形势开展 SOM 客观分型, 得到 9 类天气形势的聚类结果, 方差贡献率超过 83.7%。根据 SOM 客观分型原理, 每个类型中各逐日位势高度场具有趋于一致的特征。每一个天气类型均包含多个与此天气类型最匹配的逐日天气形势场。图 5 以 500hPa 位势高度及其风场为代表, 给出 SOM 方法的 9 类天气分型结果。

T1 型(南支弱波动型, 自然占比 14.98%): 云南地区受西太平洋副热带高压西侧及印度低压东侧的西南气流影响, 气流主要源自印度洋, 气候暖湿, 易形成不稳定层结。此类型多发生于春夏之交, 西南季风形成之前, 降水量相对较少, 气温较高。

T2 型(滇西北高压脊型, 自然占比 16.26%): 西太平洋副热带高压位置偏北偏西, 孟加拉湾至云南地区受高压控制, 云南大部分地区受高压脊引导的西北气流影响, 盛行下沉气流, 天气易干燥炎热。

width=467.75,height=195.95

图3 昆明O3-8h的年际变化、年变化和日变化

Fig. 3 Interannual, annual, and diurnal fluctuations of O3-8h concentration in Kunming

width=470.5,height=170.05

图4 昆明地区臭氧浓度与气象要素的相关关系以及超标臭氧浓度对应的温度(T )和湿度(RH)分布

Fig. 4 Correlation between ozone concentration and meteorological factors in Kunming area, as well as the temperature (T) and humidity (RH) distribution corresponding to excessive ozone concentration

T3 型(两高辐合型, 自然占比 12.60%): 西太平洋副热带高压偏南, 青藏高原地区存在一高压区, 两高压并存, 在川滇地区形成低压辐合区。云南受西南暖湿气流及高原东侧南下冷气流的共同作用, 多阴雨天气。受副高控制的区域与 T2 型相似, 气候以高温低湿、下沉气流为主。

T4 型(南支强波动型, 自然占比 4.84%): 云南地区位于西太平洋副热带高压东南侧, 受南支波动槽前的西北气流控制, 气候以稳定层结、低温干燥和下沉气流为特点, 常见于秋冬季节。

T5 型(高压分裂型, 自然占比 5.02%): 云南西部地区受偏北气流控制, 其余地区受偏南气流影响, 500hPa 高度存在一弱高空槽, 云南处于槽后负涡度平流区, 地面正变压, 反气旋发展, 可能分裂出小高压控制云南。此天气类型多出现于秋季, 可能导致北方污染物向云南输送, 若高低空配置适宜, 小高压控制云南, 气候稳定, 不利于污染物稀释。

T6 型(西行台风型, 自然占比 13.61%): 台风登陆后继续西行, 或穿越海南岛进入北部湾, 云南中低层受台风外围东南或偏东气流影响。此时, 流入云南的气流主要源自华南, 可能导致华南污染物输送至云南, 此类型天气主要出现在夏季。

width=462,height=362.9

gpm表示位势米, 矢量箭头为风场

图5 2017—2019年500 hPa天气形势的SOM聚类结果

Fig. 5 SOM clustering results of 500 hPa weather patterns from 2017 to 2019

T7 型(滇南高压脊型, 自然占比 6.30%): 孟加拉湾存在一低压区, 云南大部分地区受高压脊控制, 云南西部受低压外围西南气流影响, 700hPa 高度存在明显的反气旋环流, 气候稳定, 不利于污染物输送。

T8 型(西风小波动型, 自然占比 10.96%): 500hPa 高度, 云南受印缅内陆地区干燥温暖的西风气流控制, 700hPa 等位势高度线较平直, 小波动不断。500hPa 高度, 云南以东地区有一高压脊, 大部分云南地区位于高压脊后, 正涡度平流有利于污染物汇聚。此类型天气多出现于冬春季, 若正值烧荒季节, 西风气流可能将污染物从印缅一带输送至云南, 导致空气质量下降。

T9 型(南支槽型, 自然占比 15.43%): 相较于 T1型, 西太平洋副热带高压位置更偏北偏西, 孟加拉湾至云南受槽前西南气流影响。此类型天气多在冬春季出现, 低层气流在云南东部辐合, 滇北气流来自青藏高原, 滇南则受平直西风输送印缅污染物影响, 西双版纳及临沧污染物浓度超过昆明[28–29], 是仅次于西风小波动型的污染天气类型。

2.3.2 天气分型的季节和年际变化

在季风区, 大气环流和气象要素都具有季节变化和年际变化, 天气型也一样。图 6(a)展示 2017—2019 年 9 种天气类型的季节性变化及年际变化特征。昆明及低纬高原地区位于亚洲季风影响区域, 其季节性转换鲜明, 干湿季节尤为突出。在 9 种客观天气类型的季节性出现频率上, 这一特点得以清晰体现。

春季, 昆明及云南地区正处于由南支西风主导向亚洲夏季风过渡的阶段, 因此天气类型最为多样。除了典型的夏季天气类型 T6 出现频率为零之外, 春季呈现出其余 8 种天气类型。西风类型的 T9, T1 和 T2 成为春季主导, 分别占比 31.25%, 27.78%和 17.01%, 三者合计占比高达 76.04%。其他类型也占有近 1/4 的概率。

进入夏季, 昆明及滇中地区主要受到亚洲夏季风(包括南亚夏季风和东亚夏季风)及其相关系统(例如夏季副热带高压)的影响, 环流形势相对单一。夏季的主要天气类型为 T6, T2 和 T3, 出现频率分别为 51.14%, 29.17%和 19.32%, 合计占比高达99.62%。其余类型中, 除 T9 型仅占 0.38%外, T1, T4, T5, T7 和 T8 这 5 种天气类型的出现频率为零, 说明这些类型不属于夏季天气。

秋季, 尽管昆明及云南地区的降水逐渐减少, 但依旧处于雨季, 环流控制权逐渐由夏季风转向南支西风, 天气类型的组成较夏季略显复杂。T3, T9, T2 和 T1 成为秋季主导天气类型, 出现频率分别为32.08%, 27.17%, 19.62%和 10.57%, 合计占比89.43%。T6 和 T8 型的出现频率均为 5.28%, 而 T4, T5 和 T7 型的出现频率为零。

冬季, 昆明及云南地区再次进入南支西风控制期, 与夏季的天气类型差异最为显著。T8, T1 和 T7为概率排名前三的主要天气类型, 出现频率分别为32.01%, 20.14%和 18.35%, 合计占比 70.50%。冬季T9 型的频率较低, 仅为 2.16%, 而典型的夏季天气类型 T2, T3 和 T6 的出现频率均为零。值得注意的是, T8, T7, T4 和 T5 均为典型的冬季天气类型, 尽管T4 和 T5 的出现频率未超过 20%, 在春季也不足10%, 但在夏秋季却完全不出现(即在雨季不出现)。

本研究基于 3 年的数据, 在对年际和年代际变化及趋势分析方面存在局限性。但是, 从这 3 年天气类型的逐年构成(图 6(b))中, 仍然可以明显观察到年际间的差异, 并且每种类型都有所变动。按年份顺序, 呈现“多–少–多”变化的有 T2, T3 和 T7; 呈现“少–多–少”变化的有 T4, T5, T6 和 T9; 由少变多的为 T8; 由多变少的为 T1。天气类型的年际变化主要以年际振荡为主。

2.4 天气分型与臭氧污染日的关联性分析

2.4.1 自然日及臭氧污染日的天气型概率分布

为分析昆明臭氧污染的天气型出现特征, 分别对自然日和臭氧污染日的 9 类天气型出现概率进行统计, 结果如图 7 所示。可以看出, 自然日和臭氧污染日的概率分布有显著差异。相较而言, 自然日的各种天气型概率分布相对均匀, 而臭氧污染日的天气型概率具有明显的倾向性。臭氧污染日主要集中于 T6 型和 T2 型天气(图 7(b)), 其余天气型中, T1, T3, T5 和 T9 型有少量分布, T4 和 T8 型在研究时段未在臭氧污染日出现。

2.4.2 天气型与臭氧污染日发生概率的关系

2017—2019 年间, 共计出现 13 天的臭氧轻度污染(表 1)。具体来看, 2017 年只有 5 月 27 日出现一天臭氧污染; 2018 年则有 4 天, 分别为 3 月 21 日、3月 25 日、6 月 6 日及 8 月 27 日; 2019 年臭氧污染日增加至 8 天, 分别是 4 月 22 日、4 月 25 日、4 月 26日、5 月 20 日、8 月 11 日、8 月 16 日、8 月 25 日及8 月 26 日。由图 3 可见, 昆明臭氧污染日的分布具有鲜明的季节性及年际变化特征。在季节分布上, 臭氧污染日集中在春季和盛夏两个臭氧浓度高峰期。同时, 2017—2019 年间, 臭氧浓度在各个时间尺度上的平均值逐渐上升, 臭氧污染日数量也随之增加, 年度内臭氧污染日数量与各时间尺度平均浓度变化呈现正相关关系。

根据 2017—2019 年昆明自然日的 9 类天气型分布情况(图 7(a)), 自然日天气型的出现概率排序为 T2>T4>T1>T6>T3>T8>T7>T5>T9。其中, T2 天气型出现概率最高, 达 16.26%, 其次为 T4 天气型, 出现频率为 15.43%, T9 天气型的出现概率最低, 为4.84%。

进一步分析臭氧污染日与天气型之间的关系(图 7(b)和表 1), 发现臭氧污染日的天气型概率与自然日存在显著差异。T4, T7 和 T8 天气型下未出现臭氧污染日, 而在 T1, T2, T3, T5, T6 和 T9 天气型下, 均有臭氧轻度污染事件发生, 尤其是 T2 和 T6型, 分别出现 4 天和 5 天, 占臭氧污染日总数的30.80%和 38.50%。余下的 T1, T3, T5 和 T9 天气型下, 臭氧污染日只有 1 天, 占比为 7.7%。T4 和 T7天气型未出现臭氧污染日。虽然昆明臭氧污染日为稀发事件, 在 2017 至 2019 年仅占自然总日数的1.19%, 但其出现的天气型具有明显的倾向性, 表明天气环流形势对臭氧生成有影响, 尤其是 T2和 T6 天气型, 更易促成臭氧污染事件。

借鉴其他地区的研究经验[15,30], 根据臭氧污染日的倾向性, 可将昆明 9 个天气型划分为“污染天气型”、“偏污染天气型”和“偏清洁天气型”。具体而言, T2 型和 T6 型属于污染天气型, T1, T3, T5 和 T9型为偏污染天气型, 而 T4, T7 和 T8 型则归类为偏清洁天气型。

width=428.05,height=150.25

图6 2017—2019年昆明自然日天气型概率的季节(a)和逐年(b)分布

Fig. 6 Seasonal (a) and yearly (b) distribution of natural daily weather pattern probability in Kunming from 2017 to 2019

width=360.35,height=155.65

图7 2017—2019年昆明自然日和臭氧污染日的天气型概率分布

Fig. 7 Weather pattern probability distribution of natural days and ozone pollution days in Kunming from 2017 to 2019

表1 昆明臭氧污染日与9类天气型的统计

Table 1 Statistics of ozone pollution days and 9 weather types in Kunming

天气型污染日天数概率/%臭氧超标日 T117.702018–03–25 T2430.802017–05–27, 2019–04–25, 2019–04–26, 2019–05–20 T317.702018–06–06 T400无 T517.702018–03–21 T6538.502019–08–11, 2019–08–16, 2019–08–25, 2019–08–26, 2018–08–27 T700无 T800无 T917.702019–04–22

说明: 粗体字表示与臭氧污染相关的两种主要天气型。

2.4.3 T2型气流轨迹及潜在源区

图 8 给出 T2 天气型下昆明 5 天臭氧污染日的后向轨迹和 WPSCF 分布特征的聚类结果。分析结果表明, 在 5 天臭氧污染日, 影响昆明的气团分为以下 3 类: 轨迹 1 由昆明东南部向昆明移动, 占比为50.00%; 轨迹 2 和 3 分别为来自云南西部和西南部的气流在昆明汇合, 占比分别为 17.71%和 32.29%。从潜在源贡献因子分析结果(图 8(b))可见, 臭氧污染潜在源主要位于云南西部和云南东部的曲靖, 基本上呈带状分布。

width=470.5,height=198.5

图8 T2型昆明臭氧污染日后向轨迹(a)和WPSCF (b)分布特征

Fig. 8 Distribution characteristics of the backward trajectory (a) and WPSCF (b) of T2 ozone pollution in Kunming

以滇西北高压脊前下沉气流为主导的高低空环流配置, 滇中地区的偏东偏北平流输送与昆明局地的晴热低湿气象条件三者相结合, 共同造成臭氧污染日出现的有利条件。T2天气型下, 由于南支西风的槽脊东移, 当高压脊位于滇西北时, 滇中和滇东上空大气的中上层被脊前西北气流控制, 而昆明及其周边地区大气中低层被反气旋环流控制。高、低层环流相互联系, 中低层反气旋由高层脊前气流的下沉促成, 使得滇中地区出现晴热低湿天气。同时, 中低层环流有利于臭氧从昆明西南方向, 由西南气流传至滇中, 促成臭氧的形成与传输。

2.4.4 T6型气流轨迹及潜在源区

图 9 给出 T6 天气型下昆明 4 天臭氧污染日的后向轨迹和 WPSCF 分布特征的聚类结果。可以看出, 空气气团也分为三类, 均来源于昆明以东, 轨迹 1和 3 分别由四川和贵州出发, 经由云南东部向昆明移动, 占比分别为 13.33%和 35.00%; 轨迹 2 气团来自昆明东部的曲靖, 占比达到 51.67%。与 700hPa和 500hPa 高度臭氧浓度气团的西北和偏西路径传输过程相符, 并且传输过程中气团由离地 2000m 逐渐下降, 是台风外围副高控制区的典型气流运动。潜在源贡献因子分析结果(图 9(b))表明, 昆明的臭氧污染潜在源主要位于四川东部和贵州西部, 主中心位于云南东部的曲靖, 只有一个强中心。

width=470.5,height=198.5

图9 T6型昆明臭氧污染日后向轨迹(a)和WPSCF (b)分布特征

Fig. 9 Distribution characteristics of the backward trajectory (a) and WPSCF (b) of T6 ozone pollution in Kunming

昆明及其周边地区位于台风外围的东风控制区, 晴热少云和东风输送非常有利于臭氧高浓度事件出现。具有深厚结构的台风系统在华南或华东登陆后, 台风环流将臭氧挤压到台风外围区域。大气低层到高层均为向云南输送的偏东气流, 也是臭氧高值区的下游。同时, 副高北抬和西伸, 副热带高压控制昆明及周边地区上空, 昆明晴热少云, 综合气象条件促成臭氧高浓度事件的出现和发展。

3 结论和讨论

本文对昆明地区地面臭氧浓度观测资料及臭氧日污染数据进行分析, 采用 SOM 客观分型法对当地天气型进行分类, 针对不同天气型的气象条件与环流特征进行深入的研究, 得出以下结论。

1)昆明的大气环流场大致分为 9 种不同类型, 各类天气型在自然概率和季节变化上存在显著差异。春季以 T9, T1 和 T2 天气型为主导, 夏季以 T6, T2 和 T3 天气型为主, 秋季以 T3, T9, T2 和 T1 天气型为主, 冬季则以 T8, T1 和 T7 天气型为主。春季天气型最为丰富, 夏季则相对单一。

2)昆明地区的臭氧污染日与特定天气类型密切相关, 与自然日天气分布存在显著差异。特别是 T2和 T6 型天气, 分别占臭氧污染日总数的 30.80%和38.50%, 表明这两种天气类型对臭氧污染事件具有促进作用。根据臭氧污染日的出现概率, 可将昆明天气类型大致划分为污染天气型、偏污染天气型和偏清洁天气型。

3)在 T2 型滇西北高压脊天气影响下, 南支西风槽脊的东移导致滇西北地区形成高压脊, 滇中和滇东地区大气的中上层主要受高压脊前西北气流影响, 而昆明及其周边地区受中低层反气旋环流控制。高层气流下沉与低层反气旋环流的结合, 为滇中地区带来晴热干燥的天气条件。此外, 中低层气流模式有助于臭氧从昆明东北方向的贵州地区向滇中地区传输, T2 型天气特有的晴朗干燥及强烈太阳辐射, 加上区域性臭氧传输, 共同导致该地区臭氧浓度上升。

4)T6 型西行台风天气下, 登陆华南或华东的台风系统推动臭氧向台风外围扩散, 使云南成为臭氧高值区的下游。同时, 副热带高压的北抬和西伸导致昆明及周边地区受其控制, 晴朗少云的天气条件加剧臭氧浓度的升高, 这些因素共同促使臭氧高浓度事件的发生与发展。

5)尽管 T2 和 T6 型环流形势存在明显的差异, 但两者的共同点是昆明及云南地区均处于高压环流控制下, 易出现高温、低湿和强辐射的有利环境条件, 从而促进臭氧浓度超标。

本次研究采用 SOM 方法对昆明客观天气型进行分析, 并结合臭氧污染日进行关联研究, 客观和量化地揭示昆明臭氧污染的环流形势特征。然而, 臭氧浓度变化(包括超过污染日标准阈值)是一个复杂多元的过程, 研究仍有广阔的空间。重要的是, 环流形势及气象条件仅是影响臭氧浓度变化的诸多因素之一, 臭氧浓度还涉及排放、输送和转化等复杂过程。单一地考虑环流形势的臭氧污染分析并不全面, 相同或相近天气形势下是否出现臭氧污染日, 存在不确定性。本研究中 T6 天气型出现 149 天, 但仅 5 天出现臭氧轻微污染。这一问题在国内其他地区的大气污染研究中均存在。因此, 未来需针对臭氧污染的全环节, 开展更细致的研究。

此外, 本次研究的时段限于 2017—2019 年, 期间昆明臭氧污染事件频次增加, 但空气质量总体上良好, 臭氧污染日仅 13 天。通过定义臭氧污染临近超标日而增加的 22 天样本, 对研究来说仍然有限。尽管如此, 天气型的倾向性与关联性特征基本上一致。未来的研究中可增加数据年限, 积累更多样本, 对本研究结果进行验证与修正。

最后, 作为山间盆地的特大城市, 昆明的地形不利于污染扩散, 且随着省会城市规模的不断扩大, 空气质量下降压力逐渐增大。目前针对山间盆地大气环境的研究尚不多见, 需持续加强研究投入, 为昆明臭氧污染调控提供更可靠的科学依据。

参考文献

[1] 徐祥德, 丁国安, 卞林根. 北京城市大气环境污染机理与调控原理. 应用气象学报, 2006, 17(6): 815–828

[2] Blay V, Barrios-Rivas J L, Xiao Z. Separation of air components and pollutants by the Earth’s gravitational field. Chemosphere, 2019, 232: 453–461

[3] 德庆卓嘎, 高佳佳, 白志宣, 等. 拉萨市近地面大气成分时空变化及相关因子研究. 气候与环境研究, 2024, 29(2): 125–135

[4] 钱骏, 徐晨曦, 陈军辉, 等. 2020年成都市典型臭氧污染过程特征及敏感性. 环境科学, 2021, 42(12): 5736–5746

[5] 薛莲, 徐以飞, 刘岳峰, 等. 青岛市春季一次臭氧污染过程特征及成因分析. 环境科学与技术, 2021, 44(增刊1): 161–165

[6] 杨显玉, 易家俊, 吕雅琼, 等. 成都市及周边地区严重臭氧污染过程成因分析. 中国环境科学, 2020, 40(5): 2000–2009

[7] 严晓瑜缑晓辉, 杨婧, 等. 中国典型城市臭氧变化特征及其与气象条件的关系. 高原气象, 2020, 39 (2): 416–430

[8] Simon H, Reff A, Wells B, et al. Ozone trends across the United States over a period of decreasing NOx and VOC emissions. Environmental Science & Technolo-gy, 2015, 49: 186–195

[9] Doherty R M, Wild O, Hess P, et al. Impacts of climate change on surface ozone and intercontinental ozone pollution: a multi-model study. Journal of Geophysical Research: Atmospheres, 2013,118(9): 3744–3763

[10] 段玮, 万石云, 段旭. 昆明坝子边界层贴地逆温特征及其成因. 云南地理环境研究, 2014, 26(4): 1–6

[11] 周晓宇, 王咏薇, 孙绩华, 等. 昆明城市热岛效应的数值模拟研究. 大气科学, 2022, 46(4): 921–935

[12] 孙绩华, 冯健武, 段玮. 昆明城市热岛效应变化特征研究. 气候与环境研究, 2015, 20(6): 645–653

[13] 杨芳园, 潘娅婷, 康道俊, 等. 2019 年昆明市一次臭氧污染过程特征及成因分析. 环境科学学报, 2022, 42(10): 71–79

[14] 金赛花, 樊曙先, 王桂玲. 中国 5 站多年臭氧总量变化特征. 大气科学研究与应用, 2014(1): 1–12

[15] 尹晓梅, 朱彬, 熊亚军, 等. 2007~2016 年北京天气分型与霾日的关联. 中国环境科学, 2020, 40(1): 123–134

[16] 翁佳烽, 梁晓媛, 谭浩波, 等. 基于 K-means聚类分析法的肇庆市干季PM2.5 污染天气分型研究. 环境科学学报, 2020, 40(2): 373–387

[17] 杨旭, 张小玲, 康延臻, 等. 京津冀地区冬半年空气污染天气分型研究. 中国环境科学, 2017, 37(9): 3201–3209

[18] Steyn D G, Chaumerliac N. Air pollution modeling and its application. New York: Springer, 2016

[19] Yuan J, Tan B, Feldstein S B, et al. Wintertime North Pacific teleconnection patterns: seasonal and interan-nual variability. Journal of Climate, 2015, 28(20): 8247–8263

[20] Vélez-Pereira A M, De Linares C, Belmonte J. Aero-biological modelling II: a review of long-range trans-port models. Science of the Total Environment, 2022, 845: 157351

[21] 符传博, 丹利, 唐家翔, 等. 2017 年 10 月海南省一次臭氧污染特征及输送路径与潜在源区分析. 环境科学研究, 2021, 34(4): 863–871

[22] 布和朝鲁, 诸葛安然, 谢作威, 等. 2021 年“7.20”河南暴雨水汽输送特征及其关键天气尺度系统. 大气科学, 2022, 46(3): 725–744

[23] 马双梅, 祝从文, 刘伯奇. 2019 年 4~6 月云南持续性高温天气的大气环流异常成因. 大气科学, 2021, 45 (1): 165–180

[24] 刘佳, 晏红明, 李艳春. 2019 年初夏云南异常高 温干旱的环流影响因子分析. 云南地理环境研究, 2020, 32(2): 42–48

[25] 裴成磊, 谢雨彤, 陈希, 等. 广州市冬季一次典型臭氧污染过程分析. 环境科学, 2022, 43(10): 4305–4315

[26] 杨健, 尹沙沙, 于世杰, 等. 安阳市近地面臭氧污染特征及气象影响因素分析. 环境科学, 2020, 41 (1): 115–124

[27] Li K, Jacob D J, Liao H, et al. Anthropogenic drivers of 2013–2017 trends in summer surface ozone in China, 2019, 116(2): 422–427

[28] Shi J, Wang Z, Zhao C, et al. Characteristics and causes of ozone pollution in 16 cities of Yunnan Plateau. Atmosphere, 2022, 13(8): 1177

[29] 潘春梅, 朱翔, 王健, 等. 云南省 2019 年臭氧污染特征及影响因素研究. 环境科学与技术, 2020, 43 (10): 156–164

[30] 常炉予, 许建明, 瞿元昊, 等. 上海市臭氧污染的大气环流客观分型研究. 环境科学学报, 2019, 39 (1): 169–179

Analysis of Weather Types and Their Correlation with Ozone Pollution Days in Kunming

XIE Yiran1, CHEN Yunbo2, DUAN Wei3,†, GONG Yuanjun2, FAN Wenxuan4

1. Yunnan Meteorological Observatory, Kunming 650034; 2. Kunming Research Institute of Ecological Environment Science, Kunming 650032; 3. Yunnan Institute of Meteorological Sciences, Kunming 650034; 4. Yunnan University, Kunming 650091; †Corresponding author, E-mail: E-mail: duanwain@foxmail.com

Abstract The self-organizing mapping neural network clustering (SOM) was utilized to conduct an objective classification study of large-scale samples of atmospheric circulation in Kunming from 2017 to 2019. Meteorological conditions and circulation characteristics of different weather types were assessed by using ground-based ozone concentration and daily ozone pollution data. Findings indicate that there are 9 atmospheric circulation field types in Kunming, with significant differences in occurrence probability and seasonal variation. Different weather types significantly affect the frequency of ozone pollution days (O3-8h≥160 µg/m³) in Kunming. Among all ozone pollution days, T2 (high pressure ridge in northwest Yunnan) and T6 (westward-moving typhoon) have the highest frequency, accounting for 30.8% and 38.5% of total ozone pollution days respectively, defined as “pollution weather types”. T4, T7, and T8 were classified as “relatively clean weather types” due to absence of ozone pollution, while T1, T3, T5, and T9 are “relatively pollution weather types”. There are significant differences in circulation patterns between T2 and T6. Under the control of T2 weather, Kunming and even the entire Yunnan region are dominated by the westerly wind in front of the high-pressure ridge. Easterly winds surrounding the typhoon affect T6 weather. However, under both circulation conditions, the Kunming and Yunnan region are under the control of high pressure circulation, easily forming high temperature, low humidity, strong radiation, and other environmental conditions conducive to ozone exceeding standards.

Key words Kunming; objective weather classification; ozone pollution; correlation