北京大学学报(自然科学版) 第61卷 第1期 2025年1月

Acta Scientiarum Naturalium Universitatis Pekinensis, Vol. 61, No. 1 (Jan. 2025)

doi: 10.13209/j.0479-8023.2024.085

国家重点研发计划(2018YFB0505504)和中央高校基本科研业务费资助

收稿日期: 2023–12–01;

修回日期: 2024–01–17

城市火灾隐患时空规律挖掘——以深圳市光明区为例

程楚云1,2 邬伦1,2 田原1,2,† 廖聪3 张建学1,2 曹晓澄1,2 邓杨兰朵1,2 马睿平1,2

1.北京大学遥感与地理信息系统研究所, 北京 100871; 2.空间信息集成与 3S 工程应用北京市重点实验室, 北京 100871; 3.中规院(北京)规划设计有限公司, 北京 100044; †通信作者, E-mail: tianyuanpku@pku.edu.cn

摘要 针对城市网格化管理形成的城市火灾隐患数据, 基于火灾管理防范措施前置化的迫切需求, 提出一套城市火灾隐患的时空规律挖掘框架。此框架采用时空分治理念, 首先探究不同时空尺度下火灾隐患的空间分布模式, 获得空间分布相似样本集合; 然后基于存在时空分异的火灾隐患数据, 进一步探索时空尺度下的隐患共生模式和滞后影响。以深圳市光明区 9 类典型火灾隐患为实例开展实证研究, 发现深圳市光明区火灾隐患存在 4 组时空分布相似组合, 其模式在不同时空尺度下均得到验证; 进一步的时空分布相似性挖掘表明, 隐患组合间存在共生关系, 部分隐患组合间存在滞后影响关系。研究结果表明该框架适用于城市火灾隐患时空分布相似模式的分析和挖掘, 可以输出类间共生、时空相似和滞后性等分析结论, 为后续机理研究和火灾防治等工作提供技术支撑。

关键词 城市火灾隐患; 时空规律分析; 隐患共生和滞后; 城市网格化管理; 灾害防治

火灾是城市的主要灾害类型, 常造成巨大的生命财产损失[1]。随着国家城镇化的快速推进, 开展城市火灾发灾规律研究并提出防治策略, 已成为当前城市安全管理的核心任务之一[2]。囿于火灾的偶发性, 城市消防安全相关研究常使用时间跨度在 8年以上, 空间单元为市级以上范围的发灾数据集开展建模分析[3–7]。时间跨度较长的城市火灾数据集能较好地反映城市既往火灾历史, 但因火灾在时空上的稀疏性, 相关成果在细粒度空间尺度灾害预测和防治的应用中效果受限, 难以满足现代城市精细化和智能化管理的需求。

近年来, 随着科技手段和治理观念的不断进步, 城市火灾管理思路从主要关注救灾, 逐步转变为将前置防灾减灾工作纳入治理体系, 形成防治一体化的新策略。在此过程中, 得益于智慧城市建设, 尤其是网格化城市管理方法的迅猛发展[8], 部分地区已经在城市管理工作实务中, 积累了可观的火灾隐患数据, 为前置的防灾减灾研究提供了契机。火灾隐患是可能导致火灾发生或火灾危害增大的各类潜在不安全因素[9], 在城市管理中主要聚焦电气线路私搭乱接、安全通道堵塞以及电动车违规充电等可能导致群死群伤火灾事故的消防隐患[10]。在网格化城市管理模式中, 火灾隐患数据集依托网格员例行巡查上报, 数据一致性高、覆盖范围广、时效性强、时空分辨率较高、数据量也较为充足, 为应用各类分析方法对隐患的时空规律进行挖掘, 进而更好地支撑相关研究和实务工作, 提供了重要的数据基础[11]

目前, 基于城市火灾隐患数据开展的相关研究较少。2020 年, 伍晗等[12]基于隐患排查现状, 提出结合隐患的火灾风险评估方法。2021 年, 廖聪等[13]探讨了深圳市电动自行车违规充电的影响因素。既有研究对城市火灾隐患数据集所蕴含空间规律的挖掘和利用尚不充分, 未能为相关管理工作提供直接的可靠的支持。Wuschke 等[14]指出, 以火灾和犯罪为典型的特殊事件在时间和空间上并非随机的。针对此类点数据集, 有学者使用 Moran’s I 和 Getis-Ord Gi 等空间经典分析方法, 在交通事故、生态环境等领域开展数据或事件空间分布规律的研究, 取得良好的效果[15–16], 为本研究提供了可用的理论基础和技术方法。对火灾隐患这一新兴数据集开展时空分布相似性分析, 有助于揭示隐患的时空分布规律, 为城市火灾治理提供针对性的前置建议, 推动城市火灾“防治一体、前置减灾”治理模式的实现。

本文以火灾隐患的时空分布相似性为切入点, 探索火灾隐患间是否存在空间分布相似性, 相似规律是否在不同的空间划分下均稳定存在, 并进一步探索在时空视角下是否存在伴生或滞后的现象, 从而揭示城市火灾隐患的时空相似和转移规律, 旨在为基于分类的隐患机理研究提供基础, 为网格化城市管理隐患排查实务工作提供参考, 为打破单项防控、实现动态联合防治提供技术参照, 进一步提升城市火灾防治能力。

1 研究框架及分析方法

城市火灾隐患数据为带有时间戳的分类点数据, 主要属性包含时间、经纬度和所属隐患类别。为探索不同类别火灾隐患事件间的时空相似规律, 本文设计一种针对点数据集时空分布相似性探索的方案, 总体架构如图 1 所示。为降低时空耦合计算的复杂度, 采用先空间后时空的挖掘框架, 先从多尺度空间进行空间分布规律挖掘, 然后在时空维度进行分布相似性探索。

本研究基于城市多层级网格化管理的实际情况以及空间尺度问题(modifiable areal unit problem, MAUP)[17–18], 挖掘符合管理尺度的稳定的火灾隐患空间分布规律, 探索相似规律是否在不同空间划分方式下均稳定存在, 重点探索隐患间是否存在空间分布相似性。若隐患并未形成稳定的相似规律, 则证明相关隐患的空间分布差异较大; 反之, 证明相关隐患可能存在伴生现象, 需对其进行时空分布相似性探索。

进一步的时空分布相似性分析旨在探索上述相似规律能否在不同时间稳定地存在, 从而判定相关规律是否能前置性地提供巡防重点, 支持动态巡防的辅助决策。首先判断隐患的分布是否随着时间发生改变, 若不随时间改变, 则空间相似规律可直接适用于任何时刻; 若隐患分布规律存在时间分异, 则需要纳入时间维度, 探索在时空视角下是否依旧存在空间分布变化趋势一致的伴生现象。相关挖掘成果应针对巡查提供前置性意见, 所以除考虑隐患的共生性外, 还需要将隐患间的时间滞后性影响纳入挖掘范畴。

width=354.35,height=354.35

图1 隐患分布的时空相似性挖掘框架

Fig. 1 Spatiotemporal similarity mining framework

1.1 隐患数据多形态多尺度的空间分布相似性分析

在空间层面, 采用多形态多尺度方案进行全时段数据相似性分析。为分析空间格网的形态、划分方式、格网尺度对统计结果的影响, 选取两种以上典型的格网形态, 并采用与多层级网格化城市管理尺度相若的多种格网尺度, 组成多形态多尺度空间格网, 在每种格网划分方式下, 按照下述流程, 分别进行隐患空间分布相似性分析。

1)隐患数据序列化。针对每种格网划分方式, 对格网进行连续编号, 建立全域隐患数据矩阵。该矩阵横向(即各列)依次对应各隐患类别, 纵向(即各行)对应格网编码。每个行向量对应某一格网内各类隐患计数, 每个列向量对应某一隐患在全部格网的统计结果。

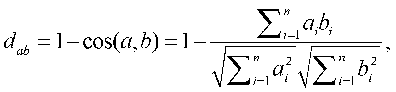
2)隐患聚类。本研究采用自底向上的层次聚类算法[19–20]进行研究区隐患规律挖掘。其中, 类间距离的测算采用余弦距离:

width=173.85,height=40.85

其中, ai 为网格 i 内隐患 A 的数量, bi 为隐患 B 的数量, dab 为隐患 AB 的余弦距离。余弦距离能较好地克服样本总量不平衡问题, 并且, 对余弦距离进行标准化, 有助于评估种类间的相对差异, 适用于城市安全隐患的研究场景。余弦距离通过余弦相似度测算样本间的距离, 样本相似度越高, 距离越小。类间合并采用基于信息量的 Ward 方法[20], 使每次合并的信息损失最少。

通过对比多形态多尺度空间格网的聚类结果, 可以分析空间格网形态及尺度对隐患聚类结果的影响。若聚类结果不受格网形态影响, 在不同空间尺度下稳定存在, 则说明隐患存在稳定的空间相似组合。对于发现的稳定空间相似组合, 进行下一步的时空伴生和滞后性分析。

1.2 隐患数据的时空伴生和滞后性分析

在时空层面, 重点对空间分布随时间变化的隐患进行分析。进一步引入时间维度, 挖掘隐患间的共生性和滞后性。首先, 对所有隐患进行类内时空规律判断, 观察各类隐患的空间分布是否随时间变化。本研究采用余弦距离进行类内时空分异判断, 对类内不同时间的分布距离进行统计, 并通过箱线图进行可视化。

对 1.1 节挖掘获得的隐患空间相似组合进行逐一判断, 若组合内隐患的空间分布均不随时间改变, 说明该空间相似组合在时空视角下依旧稳定存在; 若组合内包含存在时空分异现象的隐患, 则按照下述流程, 进行时空伴生和滞后性分析。

1)组织隐患时间切片数据。对组合中的隐患, 均按照固定的时间单位进行截面数据统计。例如, 空间相似组合中包含隐患 AB, 数据集共覆盖 N个时间单位, 则将数据组织为 A1, A2, …, At, …, AN B1, B2, …, Bt, …, BN 共 2N 组时间切片隐患数据。沿用 1.1 节的空间数据编码方式, 依据格网分布, 将切片数据组织为序列化数据, 如 At=[at1, at2, …, ati, …, atk], 其中 ati 为隐患 A 在时间周期 t 中网格 i 内的事件上报数量。

2)计算距离矩阵。对组合中的隐患, 两两进行切片数据类间距离计算。例如, 组合中共包含 A, BC 三类隐患, 则需要计算[(A, B), (A, C), (B,C)]3 个距离矩阵。其中, 计算隐患 AB 间的距离矩阵的方法如下: 将隐患 A 的每个时间切片数据 A1, A2, …, At, …, AN 依次与隐患 B 的所有时间切片数据进行距离计算, 组织形成 N×N 的距离矩阵[[d11, d12, …, d1N], [d21, d22, …, d2N], …, [dN1, dN2, …, dNN]], 其中dtatb 表示隐患 Ata 时间周期截面数据空间分布 Ata与隐患 Btb 时间周期截面数据空间分布 Btb 之间的距离。

3)共生性分析。按照两类隐患的时间差(tatb)重新组织步骤 2 中得到的隐患间距离, 将时间差(tatb)一致的 dtatb 整理为一组数据, 记为 Dtatb。例如, D0=[d11, d22, d33, …, dNN]为相同时刻(ta=tb)两类隐患的分布距离集合, D–2=[d13, d24, d35, …, d(N–2)N]为隐患 A 与两周后的隐患 B(tatb=–2)的分布距离集合。分析 D0 与其他组别距离的统计差异, 若相同时刻的类间距离统计值明显小于其他类间距离, 说明隐患组合在时空视角下存在稳定的共生关系。

4)滞后性分析。关注存在滞后时间的类间距离 Di(i≠0), 分析滞后时间与类间距离统计指标间的关系。若隐患 A 对隐患 B 有滞后影响, 则隐患 B的空间分布将受隐患 A 滞后时间周期内分布的叠加影响。因此, 可以通过统计指标挖掘隐患(A, B)组合中是否存在某一滞后时间, 使得滞后时刻对应的隐患距离明显比滞后时刻外的隐患距离更相近。

2 研究区及数据情况

深圳市光明区自 2018 年设立为行政区域以来发展迅速, 在当代中国快速城镇化背景下具有典型性和代表性。光明区下辖光明、公明、新湖、凤凰、玉塘和马田 6 个街道, 常住人口为 1095289 人, 流动人口为 952234 人, 流动人口占比为 86.94%。2010 —2020 年的 10 年间, 全区常住人口增长 127.75%, 流动人口增长 121.39%[21]。持续的人口流入为区域经济带来新的机遇, 同时由于大量流动人口在光明区没有固定房产, 区域内的社区人员变化较为频繁, 人口聚集区域、城中村、出租屋及“三小场所”等火灾重点防控区域[22]占比高, 因此火灾隐患排查至关重要, 亟待开展火灾隐患特点的分析研究。

依托深圳市数字化城市管理系统, 研究区具有良好的城市火灾隐患数据基础。光明区采用网格化管理实现城市精细化管理, 按照管理主体对城市区域进行网格划分, 并招聘网格信息采集员, 对责任网格进行每日巡查和事件标注上报。本研究采用深圳光明典型火灾隐患数据集, 为 2019 年 6 月 17 日至 2019 年 11 月 17 日(共计 22 个自然周)网格信息采集员巡查上报的 9 类典型隐患数据, 包含 356779 条隐患记录, 平均每周新增典型火灾隐患数量 16217条。每条隐患事件数据包含事件类型、上报时间及经纬度坐标, 表 1 列出典型隐患事件的名称、编码、数量及描述。

基于街道单元, 对 9 类火灾隐患数据进行空间分布占比统计, 结果如图 2 所示。可以发现, 各街道各类隐患占比差异明显, 面临的主要火灾风险不一, 说明火灾隐患在研究区全域并非随机分布, 空间分布存在明显的差异性, 需要进一步探索其空间分布规律。

以周为单位, 统计每周新增隐患数据的占比, 结果如图 3 所示。全域范围内, 各类隐患不同时间的分布占比相似, 略有波动。在时间维度观察, 数据无明显噪声, 一致性和完备性较好。各类隐患的空间分布格局是否随时间变化, 有待通过进一步的分析来确认。

表1 深圳市光明区典型火灾隐患类型

Table 1 Typical fire hazard types in Guangming district, Shenzhen city

事件名称代码数量描述 安全通道堵塞Fa77907出租屋和公共场所安全出口上锁、遮挡堵塞疏散通道 商铺违规住人Fb 8462商铺违规住人 危险用电Fc70371使用“热得快”、乱接乱拉电源线、电线无套管等行为 可燃物品堆放Fd21033在“三小”场所、出租屋内堆放纸皮、木板等可燃品 燃气配套设施隐患Fe15398出租屋内燃气管道老化、燃气阀门松动, 管道与阀门连接未用卡喉 电动车违规充电Ff91222在居住建筑物公共走道、楼梯间、前室及房间内存放电动自行车或充电(含将电池拆卸后置于室内充电) 影响消防器材使用Fg18948灭火器过期或未配备、应急灯损坏(无通电)或未配备、无安全出口指示牌, 消防器材遮挡、堵塞 热水器使用不规范Fh24437使用直排式热水器; 使用强排式热水器未安装排气管、排气管未通室外; 使用电热水器无漏电保护装置 沿街乱挂Fi18278在城市道路两侧的护栏、电杆、树木、绿篱等处晾晒衣物、物品

3 多形态多尺度空间分布相似性挖掘

为探索研究区内的隐患是否存在相似的空间分布规律, 并确定其空间分布相似规律是否受网格形态和网格尺度的影响, 本研究采用正方形和正六边形两种格网形态, 选取 4 种边长尺度(10, 100, 300 和1000m), 形成 8 种网格(表 2), 对火灾隐患点数据进行格网统计。

对不同网格划分情况下得到的火灾隐患规则向量进行余弦距离计算, 并分别进行层次聚类, 通过python 中的 Scipy 库进行代码实现, 获得如下结果(图 4): 1)对比不同尺度的距离计算结果, 10m 格网所得类间距离略大于其他尺度; 2)对比正方形与正六边形两种格网形态, 在相同格网尺度下, 两者计算得到的类间距离相近; 3)使用同样的颜色, 对相同的空间相似集合进行渲染, 在 8 种格网下, 9 类隐患均形成稳定的 4 组空间相似集合。

上述实例分析结果表明, 本文提出的多形态多尺度空间分布相似性挖掘方案可以有效地输出城市火灾隐患的空间相似规律。深圳光明区 9 类典型火灾隐患内部存在稳定的空间相似规律, 其空间相似组合不受网格尺度和网格形态影响。本研究发现的4 组稳定空间相似集合描述如下。

1)可燃物品堆放(Fd)和影响消防器材使用(Fg)为图 4 中黄色组合, 两者相似度较高, 组内类间距离为 4 组中最小。可燃物品在危险区域堆放可能造成消防器材遮挡和堵塞等问题, 同时表明相关社区消防知识普及不足, 易出现消防器材过期等问题。

2)安全通道堵塞(Fa)和电动车违规充电(Ff)为图 4 中粉红色组合, 组内类间距离在不同网格划分方式中较为稳定。安全通道上锁或堵塞形成相对密闭、不易失窃的空间, 可能诱使居民将相关空间用于电动车充电, 两种风险隐患在空间上的重叠具有合理性。

3)危险用电(Fc)和沿街乱挂(Fi)为图 4 中橙色组合, 在 1000m 的空间尺度下, 组内类间距离显著小于其他尺度。危险用电主要表现为乱接乱拉电源线、电线无套管等, 与沿街乱挂的小区可能同属楼房老旧、基础设施不足的区域。

4)商铺违规住人(Fb)、燃气配套设施隐患(Fe)和热水器使用不规范(Fh)为图 4 中绿色组合, 组内类间距离随空间尺度的增大而逐渐减少。商铺违规住人后, 为满足生活需求, 燃气、热水器等违规使用行为更易发生, 空间相似具有合理性。

深圳市光明区火灾隐患的空间分布相似规律在多形态多尺度空间格网划分下稳定存在, 说明城市火灾隐患并非孤立地随机出现, 相似集合的判定可以为城市隐患联合防治提供依据。空间分布相似的隐患间可能存在相同的诱因, 可以支持基于频繁模式等方法, 结合田野调查等手段开展机理研究。

4 时空分布相似性挖掘

针对第 3 节揭示的隐患空间分布相似性, 进一步引入时间维度, 挖掘这些相似规律能否在不同的时间稳定地存在。预期利用得到的时空规律挖掘成果, 通过进一步的分析, 可以获得重点防治的时空节点, 从而支撑动态巡防决策。

width=328.8,height=323.15

图2 各街道隐患占比分布

Fig. 2 Distribution of hazard percentages in sub-district

width=396.85,height=124.7

图3 每周新增典型隐患占比分布

Fig. 3 Weekly distribution of newly added typical hazards percentages

表2 多形态多尺度划分格网属性

Table 2 Multi-form and multi-scale partition grid attributes

形状边长/m格网数量代码形状边长/m格网数量代码 正方形 101557287grid10正六边形 101797546hexa10 10015966grid100 10018359hexa100 3001860grid300 3002132hexa300 1000192grid10001000218hexa1000

width=374.15,height=637.8

图4 基于多尺度网格的隐患层次聚类结果

Fig. 4 Hierarchical clustering results of hazards based on multi-form and multi-scale grids

为确定静态空间分布相似性挖掘成果能否直接推广至任意时刻, 首先需要确定隐患的分布是否随着时间的推移而发生改变。结合光明区网格化管理巡查与整治标准, 以周为时间单元对隐患进行格网统计, 每类隐患各形成 22 个切片数据。在每一类隐患中, 将所有切片数据两两进行余弦距离计算, 得到的距离分类箱线图如图 5 所示。

图 5 显示研究区各类火灾隐患不同时间的空间分布特点相异, 存在类内时空分异。同时, 各类隐患数据类内距离方差的差异明显, 空间分布稳定性不一致。类内时空分异分析结果反映城市火灾巡防和防治工作的区域重点随时间而变化, 因此前面的空间挖掘尚未完整地揭示隐患的时空分布规律。由于不同的格网尺度对隐患数据的空间相似聚类结果并无实质性影响, 下面采用 300m 的正六边形格网作为规则格网, 进行分时数据统计。

对基于空间挖掘得到的 4 组相似集合, 引入时间切片, 在时空维度下进一步分析其空间分布相似性。对 4 组相似集合分别进行如下处理: 1)将组内各类隐患数据处理为以周为时间单位, 固定格网序列统计的向量, 结合研究区数据情况, 每类隐患获得 22 个切片数据; 2)对组内隐患两两进行多时段距离计算, 例如隐患 Fd 与隐患 Fg 同属一个组合, 则将Fd 第 0 周的数据 Fd0Fg 每周的数据[Fg0, Fg1, …, Fgt, …, Fg21]进行距离计算, 再将 Fd第 1 周的数据Fd1Fg 每周的数据进行距离计算, 依此类推, 直至隐患 Fd 所有数据计算完毕; 3)将得到的 22×22 矩阵作图, 得到同属一个集合的两类隐患的距离可视化结果(图 6)。若图中横轴为 A 隐患的周数, 纵轴为 B 隐患的周数, 则(i, j)处显示 A 隐患第 i 周(Ai)分布与 B隐患第 j 周(Bj)分布的距离 dij

组合 1 可燃物品堆放(Fd)与影响消防器材使用(Fg)对应图 6(a)中结果, 组合 2 安全通道堵塞(Fa)与电动车违规充电(Ff)对应子图 6(b)中结果, 组合 3 危险用电(Fc)与沿街乱挂(Fi)对应图 6(c)中结果, 组合4 包含商铺违规住人(Fb)、燃气配套设施隐患(Fe)和热水器使用不规范(Fh) 3 类隐患, 分别两两进行距离计算, 对应图 6(d1)~(d3)中结果。

图 6 中, 越偏向红色表示两者越相似, 越偏向蓝色表示两者越不相似; 对角线为两种隐患同一周的分布距离。子图对角线均以红色为主, 说明周尺度下各组隐患同时刻的分布较为相似。为进一步定量地确认隐患组的时空共生性质, 依据 1.2 节所述步骤, 将每组计算得到的距离矩阵按照两类隐患的时间差(tatb)重新组织为距离集合 Dta tb

采用分裂小提琴图实现统计结果的可视化, 结果如图 7 所示, 其中横坐标|tatb|为时间差的绝对值。分裂小提琴左右两侧分别表示两种隐患作为前置隐患得到的距离集合的统计结果, 如左半侧代表隐患 A 为前置隐患, 右半侧代表隐患 B 为前置隐患, 则横坐标 i 处分裂图的左半区统计的是隐患 A 比隐患 Bi 时间周期的距离集 Di=dtatb(tatb=–i, ta, tb∈[1, N]), 右半区统计的是隐患 B 比隐患 Ai 时间周期的距离集Di=dtatb(tatb=i, ta, tb∈[1, N])。

width=354.35,height=221.15

图5 时间切片下的隐患分布距离箱线图

Fig. 5 Distance boxplot of time slice distribution

width=385.55,height=504.6

图6 多时段隐患分布距离矩阵

Fig. 6 Multi-temporal hazards distance matrix

图 7 横坐标上 0 值处的类间距离集合 D0 为相同时刻隐患分布相似距离的统计指标, 反映在多时间切片的时空视角下, 前序探索获得的隐患相似组合是否稳定地呈现空间分布相似的性质。4 组空间分布相似的隐患组合在时间切片中类间距离集合 D0的误差始终最小, 与图 6 呈现的距离矩阵对角线深红色色块分布较为集中的现象一致, 说明 4 组隐患在时空视角下均存在共生性。通过上述分析确定了4 组隐患相似组合的时空分布相似性, 若巡查时发现组合中任一种隐患, 则应对与这种隐患存在共生属性的其他隐患给予重点关注。

width=447.85,height=501.7

图7 不同时间差距离集合统计结果

Fig. 7 Statistical results of distances with different time gaps

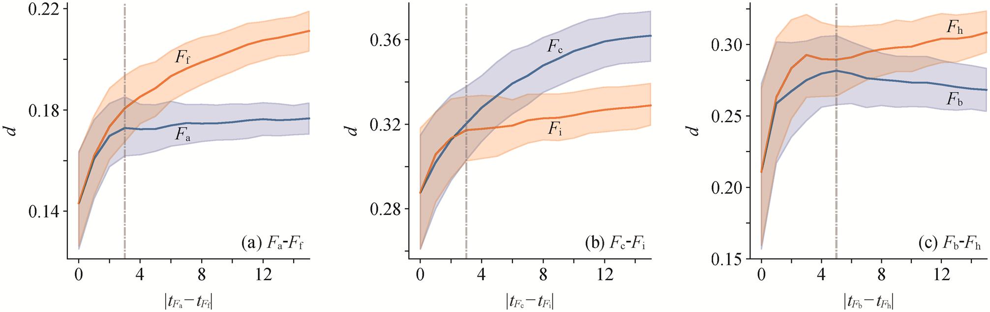
在不同的时差下, 图 7(a)、(d2)和(d3)左右两侧小提琴的形态较为一致, 图 7(b)、(c)和(d1)左右两侧小提琴的形态随时差增长而逐渐出现分异。存在时差分异的组合(图 6(b)、(c)和(d1))中, 以对角线为分界线, 均存在一半区比另一半侧颜色更偏红色的情况, 说明组合内可能存在一个隐患的滞后影响另一个隐患的现象, 需进一步研究滞后的规律, 以期有助于前置性地提供巡查意见, 实现“早介入、早治理”。

针对上述 3 组隐患组合, 将计算得到的滞后周期内所有隐患距离作为集合进行统计, 并将累计距离集合的均值及其置信区间绘图(图 8)。以图 8(a)为例, 将安全通道堵塞(Fa)作为前置隐患(蓝色曲线), 且滞后周期为 3 周处的统计指标为 dtFatFf (–3width=8.8,height=11 tFatFfwidth=8.8,height=110)的距离集合的均值及置信区间, 若累计误差曲线在时刻 t 后趋于平稳, 则说明该前置隐患在 t 时间内对另一隐患影响更明显; 若累计误差曲线始终不收敛, 则说明不存在明显的滞后周期。

width=439.3,height=138.85

阴影区表示置信区间, 灰色竖直点画线表示截断周数

图8 滞后周期累计误差

Fig. 8 Cumulative error for lag periods

图 8 显示, 安全通道堵塞(Fa)与电动车违规充电(Ff)组合中, 安全通道堵塞(Fa)为前置隐患, 在 3周后累计距离的误差趋于稳定, 安全通道堵塞区域将原有通道变为置物空间, 若不及时整改, 会使附近居民逐渐将相关区域认定为公共存储空间, 诱发电动车违规充电行为的发生; 商铺违规住人(Fb)与热水器使用不规范(Fh)组合中, 商铺违规住人(Fb)作为前置隐患, 两者累计距离的误差在 5 周后无明显分异, 商铺违规住人后需逐步配备相关生活设施, 因此热水器使用问题可能滞后出现; 沿街乱挂(Fi)作为前置隐患在 3 周后与危险用电(Fc)累计距离的误差趋于稳定, 沿街乱挂区域的楼房一般较为老旧, 公共设施配备不足, 相关社区可能诱发乱拉电线及电线老化等危险因素。

研究区内新兴区域历史隐患影响较小, 因此将其作为实例进行观察, 便于对滞后性进行验证。在宝石街与光明大道相近的网格, 最早于 9 月 3 日出现两起安全通道堵塞(Fa)隐患, 相关区域 9 月 23 日出现电动车违规充电(Ff)隐患, FaFf 的空间距离为 43m, 时间间隔约为 3 周。公常路相关网格商铺违规住人隐患(Fb)最早于 10 月 2 日出现, 10 月 6 日零星新增, 11 月 4 日出现热水器使用不规范隐患(Fh), FbFh 的空间距离为 6m, 时间间隔为 29~33 天。沿街乱挂(Fi)与危险用电(Fc)隐患主要发生于老城区, 在新兴区域未观察到实例。对新兴区域的实例观察结果符合上述隐患滞后现象分析结果。

深圳市光明区的数据表明, 本文的时空挖掘方案能有效地输出时空维度下多类点状事件间伴生及滞后伴生的时空规律, 可为动态巡防提供以下指导意见: 1)在发现隐患共生组合中某类隐患高发时, 对组合内其他隐患也应进行重点关注和排查; 2)在新兴的城市区域, 发现某一类隐患后, 在其典型滞后期内需要重点关注与其相关的隐患, 并加强相关消防宣传, 例如商铺违规住人隐患偶发区域, 在 5周内需要重点关注热水器使用不规范行为, 安全通道堵塞隐患偶发区域, 在 3 周内需要重点巡查是否有电动车违规充电行为。

5 结论

本研究探讨了城市火灾隐患之间的时空规律, 并形成针对城市火灾隐患的有效的时空挖掘框架, 可以作为一种发现隐患间时空规律的有效技术手段。选择深圳市光明区这一快速城镇化典型区域作为实例, 对 9 类典型火灾隐患开展实证研究。研究结果表明, 城市火灾隐患并非孤立存在, 相关隐患时空规律的输出可应用于隐患巡查工作, 对不同时间、不同区域提供巡查重点指引。本文的研究成果可以支撑城市火灾机理研究、隐患巡查和防治部署等工作, 也可为挖掘城市网格化管理数据的时空规律提供思路。

囿于研究区数据现状, 本研究仅对 9 类典型城市隐患数据的时空分布相似性进行挖掘和分析。随着网格化城市管理的逐渐深入和隐患数据的逐渐丰富, 未来可以对更多类型的隐患进行规律探索, 对分析方法进行补充和完善, 同时也可以综合更多的城市要素, 对相似隐患的诱发机理是否存在内在关联等问题做进一步的深入研究。

参考文献

[1] 国家消防救援局. 2023 年上半年全国日均火灾超3000 起[EB/OL]. (2023–07–17) [2023–10–10]. https:// www.119.gov.cn/qmxfgk/sjtj/2023/38420.shtml

[2] 张文辉. 转型期城市区域重大火灾风险认知、评估和防范的宏观研究[D]. 上海: 同济大学, 2007

[3] Corcoran J, Higgs G, Rohde D, et al. Investigating the association between weather conditions, calendar events and socio-economic patterns with trends in fire incidence: an Australian case study. Journal of Geogra-phical Systems, 2011, 13: 193–226

[4] Ardianto R, Chhetri P. Modeling spatial-temporal dy-namics of urban residential fire risk using a Markov chain technique. International Journal of Disaster Risk Science, 2019, 10: 57–73

[5] 何宁, 韩晓鹏. 2000—2009 年中国火灾时空分布特征分析. 消防科学与技术, 2012, 31(2): 210–213

[6] Holborn P G, Nolan P F, Golt J. An analysis of fatal unintentional dwelling fires investigated by London Fire Brigade between 1996 and 2000. Fire Safety Journal, 2003, 38(1): 1–42

[7] 辛晶, 杨玉胜, 王玉, 等. 近十年中国火灾时空分布特征及成因分析. 消防科学与技术, 2016(1): 117–119

[8] 邬伦, 刘贤明, 童云海. 一网统管下城市网格化综合管理新模式的探索和实践. 北京: 北京大学出版社, 2023

[9] 中华人民共和国国家质量监督检验检疫总局, 中国国家标准化管理委员会. 中华人民共和国国家标准GB 35181—2017 重大火灾隐患判定方法[S/OL]. (2017– 12–29)[2023–10–10]. https://openstd.samr.gov.cn/bzgk/gb/ newGbInfo?hcno=85F17D4B740F2A45FE29DCD9A6DAFA09

[10] 深圳市光明区应急管理局. 光明区应急管理局 2023年 1—3 季度工作总结和下一步工作计划报告[EB/ OL]. (2023–10–27) [2023–10–10]. http://www.szgm. gov.cn/gmaqscjdglj/gkmlpt/content/10/10914/mpost_10914221.html#11272

[11] 阎耀军. 城市网格化管理的特点及启示. 城市问题, 2006(2): 76–79

[12] 伍晗, 任常兴, 张欣, 等. 基于火灾隐患排查的消防安全社区管理. 消防科学与技术, 2020, 39(3): 409–412

[13] 廖聪, 邬伦, 蔡恒, 等. 城市电动自行车违规充电隐患的空间分布及其影响因素. 北京大学学报(自然科学版), 2021, 57(4): 671–678

[14] Wuschke K, Clare J, Garis L. Temporal and geographic clustering of residential structure fires: a theoretical platform for targeted fire prevention. Fire Safety Jour-nal, 2013, 62: 3–12

[15] Songchitruksa P, Zeng X. Getis-Ord spatial statistics to identify hot spots by using incident management data. Transportation Research Record, 2010, 2165: 42–51

[16] Rossi F, Becker G. Creating forest management units with hot spot analysis (Getis-Ord Gi*) over a forest affected by mixed-severity fires. Australian Forestry, 2019, 82(4): 166–175

[17] Fotheringham A S, Wong D W S. The modifiable areal unit problem in multivariate statistical analysis. Envi-ronment and Planning A, 1991, 23(7): 1025–1044

[18] Gao F, Li S, Tan Z, et al. Understanding the modifiable areal unit problem in dockless bike sharing usage and exploring the interactive effects of built environment factors. International Journal of Geographical Informa-tion Science, 2021, 35(9): 1905–1925

[19] Johnson S C. Hierarchical clustering schemes. Psycho-metrika, 1967, 32(3): 241–254

[20] Nielsen F. Introduction to HPC with MPI for data science. Cham: Springer, 2016: 195–211

[21] 深圳市光明区统计局. 深圳市光明区第七次全国人口普查公报[EB/OL]. (2021–06–25) [2023–10–10]. http://www.szgm.gov.cn/gmtjj/gkmlpt/content/9/9996/post_9996018.html#24775

[22] 国家消防救援局. 近 10 年全国居住场所火灾造成11634 人遇难[EB/OL]. (2022–02–18) [2023–10–10]. https://www.119.gov.cn/gk/sjtj/2022/27328.shtml

Spatiotemporal Patterns Mining for Urban Fire Hazards: A Case Study in Guangming District, Shenzhen

CHENG Chuyun1,2, WU Lun1,2, TIAN Yuan1,2,†, LIAO Cong3, ZHANG Jianxue1,2, CAO Xiaocheng1,2, DENG Yanglanduo1,2, MA Ruiping1,2

1. Institute of Remote Sensing and Geographical Information Systems, Peking University, Beijing 100871; 2. Beijing Key Laboratory of Spatial Information Integration and Its Applications, Beijing 100871; 3. CAUPD Beijing Planning & Design Consultants LTD, Beijing 100044; †Corresponding author, E-mail: tianyuanpku@pku.edu.cn

Abstract A spatiotemporal segmentation-based framework for mining the spatial and temporal laws associated to urban fire hazards using data obtained through urban grid management is proposed to address the urgent need for preventive measures in urban fire management and prevention. The framework processes spatial and temporal distribution patterns successively. Firstly, spatial distribution patterns of urban fire hazards under different spatial grid resolutions are explored to obtain collections of samples with similar spatially distributed patterns. Subsequently, coexistence patterns and lagging effects of the above-mentioned set of hazards are analyzed to delve into their possible spatio-temporal distribution patterns. Empirical research is conducted with nine typical fire hazard types in Guangming district, Shenzhen, as a case study. The research shows that there are four distinct groups of similarity combinations regarding the spatiotemporal distribution of fire hazards across various spatiotemporal scales. Further spatiotemporal similarity mining indicates the coexistence relationship among hazards, with some hazards exhibiting lagging impact relationships. It can be concluded that the proposed framework is feasible for analyzing and mining spatiotemporal distribution similarity patterns of urban fire hazards. The resulting analytical conclusions of urban fire hazards coexistence, spatiotemporal similarity, and lag effects may provide substantial support for urban fire prevention tasks as well as for other similar studies.

Key words urban fire hazards; spatiotemporal pattern analysis; hazard coexistence and lagging; urban grid manage-ment; hazard prevention