北京大学学报(自然科学版) 第61卷 第1期 2025年1月

Acta Scientiarum Naturalium Universitatis Pekinensis, Vol. 61, No. 1 (Jan. 2025)

doi: 10.13209/j.0479-8023.2024.080

深圳市基础研究项目(JCYJ20200109140616774, GXWD20201231165807007-20200810165349001)和深圳市龙华区政府项目(0851-1461 SZ01CL87)资助

收稿日期: 2023–12–16;

修回日期: 2024–04–09

观澜河流域水体中20种邻苯二甲酸酯的分布特征与生态风险

董艳冉 张彦丽 朱有长 崔思涵 李典宝 许楠

深圳市重金属污染控制与资源化重点实验室, 北京大学深圳研究生院环境与能源学院, 深圳 518055; †通信作者, E-mail: xunan@pkusz.edu.cn

摘要 以深圳市观澜河为例, 分析 20 种邻苯二甲酸酯(PAEs)在水体中的污染水平、来源和时空分布特征, 同时对其生态风险进行评价。结果显示, 2021 年旱季和雨季观澜河水体中∑20PAEs 浓度范围分别为 30.29~ 9755.87ng/L 和 359.87~27247.01ng/L, 平均浓度分别为 2550.73ng/L 和 5262.87ng/L, 雨季的污染程度高于旱季。干流∑20PAEs 浓度显著低于支流(p<0.05), 且污水厂下游河段的污染比其上游河段更严重。PAEs 中邻苯二甲酸二异辛酯(DEHP)和邻苯二甲酸二异丁酯(DIBP)分别为旱季和雨季含量最高的物质, 且DEHP 的浓度占比在污水厂下游河段显著高于其上游河段(p<0.05)。来源解析结果表明, 观澜河中 PAEs 的来源复杂, 包括塑料、化妆品和个人护理品等。生态风险评估发现, PAEs 对藻类的生态风险最高。大部分采样点的生态风险商值都大于 1, 表明 PAEs 在观澜河水体中的生态风险较高, 需要引起重视, 尤其要关注 DEHP 的生态风险。

关键词 邻苯二甲酸酯; 观澜河; 时空分布; 来源解析; 生态风险评估

邻苯二甲酸酯(PAEs, 又称酞酸酯)是一种人工合成的化学品, 主要用于提高塑料制品的柔韧性, 使其便于加工, 是最常见的塑化剂, 广泛应用于工农业、食品和医疗等行业[1]。当前, PAEs 在空 气[2]、水体[3–5]、土壤[6]和沉积物[7]等环境介质中被大量检出, 甚至在人体血液中也有发现[8]。邻苯二甲酸二正丁酯(DBP)、邻苯二甲酸二异辛酯(DEHP)、邻苯二甲酸二甲酯(DMP)、邻苯二甲酸二乙酯(DEP)和邻苯二甲酸二正辛酯(DOP)是被美国环境保护署(USEPA)列入优先控制污染物列表中的 5 种 PAEs[9]。同时, 我国将 DBP 和 DEHP 列入《地表水环境质量标准(GB 3838—2002)》, 控制标准分别为 0.003mg/L 和 0.008mg/L。此外, PAEs 具有致癌、致畸和致突变的“三致效应”[10], 可随食物链传递和富集, 并对生物体产生毒性效应[11]。还有研究发现, PAEs 在生物体内有类似雌性激素的作用, 可干扰人体内分泌系统, 对人类生殖系统功能产生不良影响[12]

观澜河流域位于深圳市中北部, 是东江水系一级支流石马河的上游段。观澜河对深圳市经济发展的带动作用不言而喻, 但关于观澜河流域 PAEs 污染和相关环境问题的研究十分有限。2015 年, 深圳市政府开始通过支流截污和污水处理厂出水补水等措施, 对观澜河流域进行大规模综合整治。2021 年流域治理基本上完成, 改善了区域水环境。本文以观澜河为研究对象, 对流域综合治理后水体中 20 种PAEs 的浓度水平、组成和时空分布特征进行研究, 并探究其来源及生态风险, 以便了解流域综合治理后水体中 PAEs 的污染情况, 为流域新污染物治理提供参考依据。

1 材料与方法

1.1 试剂与材料

本研究共检测 20 种 PAEs, 其化合物性质列于表 1。20 种 PAEs 混标购自天津阿尔塔科技有限公司, 内标 DEHP-d4 和 DBP-d4 购自德国 Dr.Ehrenstor-fer 公司; 色谱级溶剂(二氯甲烷、正己烷、丙酮和甲醇)均购自北京百灵威公司。超纯水仪 Milli-Q system (0.22 μm 过滤, 18.2mΩ/cm)购自美国 Milli-pore 公司。

表1 目标PAEs的理化性质和毒性数据

Table 1 Physicochemical properties and toxicity data of target PAEs

目标物 简写CAS No.分子式分子量/(g∙mol−1)辛醇–水分配系数(25°C)预测无效应浓度/(μg∙L−1) 邻苯二甲酸二甲酯DMP131-11-3C10H10O4194.21.61藻类: 1000, 甲壳类: 2300, 鱼类: 1100 邻苯二甲酸二乙酯DEP84-66-2C12H14O4222.22.54藻类: 1800, 甲壳类: 2500, 鱼类: 100 邻苯二甲酸二异戊酯DIPP605-50-5C13H16O4306.45.60− 邻苯二甲酸二丙烯酯DAP131-17-9C14H14O4246.23.11− 邻苯二甲酸二异丙脂DIPRP605-45-8C14H18O4250.32.80− 邻苯二甲酸二丙酯DPRP131-16-8C14H18O4250.34.00− 邻苯二甲酸二丁酯DBP84-74-2C16H22O4278.44.70藻类: 21, 甲壳类: 96, 鱼类: 10 邻苯二甲酸二异丁酯DIBP84-69-5C16H22O4278.44.27藻类: 21, 甲壳类: 96, 鱼类: 10 邻苯二甲酸二甲氧乙酯DMEP117-82-8C14H18O6282.31.40− 邻苯二甲酸二戊酯DNPP131-18-0C18H26O4250.35.12− 邻苯二甲酸双-2-乙氧基乙酯DEEP605-54-9C16H22O6310.32.20− 邻苯二甲酸丁苄酯BBP85-68-7C19H20O4312.44.70藻类: 1.2, 甲壳类: 5.6, 鱼类: 0.82 邻苯二甲酸二苯酯DPHP84-62-8C20H14O4318.34.50− 邻苯二甲酸二环己酯DCHP84-61-7C20H26O4330.45.20− 邻苯二甲酸双-4-甲基-2-戊酯DMPP146-50-9C20H30O4334.56.30− 邻苯二甲酸二已酯DNHP84-75-3C20H30O4334.56.90− 邻苯二甲酸二庚酯DHP3648-21-3C22H34O4334.46.00− 邻苯二甲酸二丁氧基乙酯DBEP117-83-9C20H30O6366.54.40− 邻苯二甲酸二(2-乙基己)酯DEHP117-81-7C24H38O4390.67.73藻类: 0.1, 甲壳类: 0.77, 鱼类: 0.32 邻苯二甲酸二正辛酯DNOP117-84-0C24H38O4390.67.73−

1.2 样品采集

本研究组于 2021 年 4 月(旱季)和 7 月(雨季)对观澜河流域(龙华区段)开展采样, 采样点布设如图1 所示。观澜河从深圳市自南向北流入东莞市。共布设 21 个采样点, 其中 6 个采样点位于干流(MS4, MS9, MS10, MS15, MS16和MS20), 15 个采样点位于支流(TS1~TS3, TS5~TS8, TS11~TS14 以及 TS17~ TS19), 赖屋山水库为饮用水源地保护区, 作为特殊采样点(BS0)。每个采样点采集水样 4.5L, 置于棕色玻璃瓶中, 0~4℃避光保存, 于 24 小时内完成固相萃取。

1.3 样品预处理

水样分别经过 1.2μm 和 0.7μm 玻璃纤维滤膜(Whatman, 英国)过滤后, 取 2L 滤液, 加入内标, 使其浓度为 50ng/L。取 Supelclean Envi-C18 固相萃取小柱(500mg, Waters, 美国), 分别用 10mL 甲醇和超纯水活化, 水样上样速度为 15mL/min, 上样后用 10mL 超纯水淋洗, 抽干后进行洗脱。依次用 5mL 二氯甲烷–正己烷(体积比 1:1)和二氯甲烷–丙酮(体积比 1:1)混合溶液洗脱, 收集洗脱液, 移至氮吹仪吹干, 用正己烷定容至 1mL, 过 0.22μm 滤膜(安普, 中国)转入 2mL 玻璃进样瓶中, 置于−20℃ 冰箱保存, 待测。

width=368.5,height=425.15

图1 采样点分布

Fig. 1 Sampling locations in Guanlan River

1.4 仪器分析条件

采用气相色谱–三重四极杆质谱联用仪(安捷伦8890A-7000D, GC-MS/MS)对水样中的 PAEs 进行分析。色谱条件: 色谱柱为 HP-5 MS 毛细管色谱柱(30m×0.32mm, 0.25μm); 进样体积为 1μL, 不分流进样; 载气为高纯氦气(99.999%), 柱流速为 1mL/ min, 进样口温度为 260℃。升温程序: 从 90℃(平衡 1 分钟)开始, 以 10℃/min 的速度升至 150℃(保持 1 分钟), 以 2℃/min 的速度升至 180℃(保持 1 分钟), 以 3℃/min 的速度升至 245℃(保持 2 分钟), 以6℃/min 的速度升至 280℃(保持 5 分钟)。质谱条件: 电子轰击(EI)离子源, 电离能量为 70eV, 温度为230℃; 四级杆温度为 150℃; 传输限温度为 280℃; 溶剂延迟 4 分钟; 多反应监测模式(MRM)。

1.5 质量控制与保证

实验材料均为玻璃器皿, 使用前用超纯水和甲醇各反复润洗 3 次。每批样品都进行全程空白实验, 所有实验结果均为扣除基质空白后的数据。每个采样点做两个平行样品, 平行测定结果偏差小于 10%。每 10 个样品测定一个溶剂空白样品, 结果均为未检出或小于样品测定值的 10%。采用内标法对 PAEs进行定量测定。20 种 PAEs 的加标回收率为 50%~ 136%, 检测限为 0.06~2.12ng/L, 定量限为 0.19~6.98ng/L。当浓度低于定量限时, 取值为定量限的一半, 当浓度小于检测限时, 认为未检出。

1.6 生态风险评估

水环境中污染物的生态风险可以采用风险商值(RQ)来评价[13], 计算公式为

RQ=MEC/PNEC, (1)

式中, MEC 为检出的 PAEs 环境浓度(ng/L)。将 3 类水生生物(鱼类、无脊椎动物和藻类)作为敏感物种进行评价。从 USEPA 数据库中获得敏感物种的PAEs 急性毒性数据(半数致死浓度(LC50, ng/L)或半数效应浓度( EC50, ng/L))以及慢性毒性数据(最大无效应浓度(NOEC, ng/L)), 选择合适的评价因子(AF)来预测无效应浓度值(PNEC, ng/L), 数据见表 1。风险等级划分标准: RQ<0.1 为低风险, 0.1≤RQ<1 为中等风险, RQ≥1 为高风险。

2 结果与讨论

2.1 观澜河水体中PAEs的浓度与组成

观澜河流域水体中 20 种 PAEs 在旱季和雨季的检出情况如表 2 所示。旱季的浓度范围为 30.29~ 9755.87ng/L(平均 2550.73ng/L), 雨季为 359.87~ 27247.01ng/L(平均 5262.87ng/L)。由于地表径流、沉积物释放和大气干湿沉降等多种因素的影响, 观澜河流域水体中吸纳了较多的 PAEs。深圳市观澜河水体中的 PAEs 浓度水平与上海市某河流[14]、长江三角洲河水[15]和浙江千岛湖湖水[10]相当, 略高于长江上游[16–17]、汉江中下游[18]和东江[19], 远高于三峡库区的御临河[20]和北运河[21]。这些数据表明经济发达的上海、杭州和深圳地区更容易受到 PAEs污染, 原因可能是塑料制品在人口聚集的大城市和经济发达地区的使用更广泛, 用量更大。观澜河流域水体中 20 种 PAEs 以 DBP, DIBP 和 DEHP 为主, 千岛湖[10]和北江清远段水体[7]中 PAEs 也以 DIBP, DBP 和 DEHP 为主, 这是因为 DBP 和 DEHP 是目前使用最广泛的 PAEs 类塑化剂[10]

未受环境法规监管的 PAEs(如 DBEP 和 DHP)在旱、雨两季观澜河水体中均未被检测到, DIPRP, DPRP, DMEP, DNPP, DMPP 和 DEEP 等新型 PAEs的检出浓度较低, 平均浓度小于 10ng/L。关于这些PAEs 在水环境中分布的研究也较少, 仅在乌伦古尔湖[22]、长江三角洲[15]、长江中游[16]、黄河兰州段[23]和香港暴雨[3]等水体中有较低浓度的检出。

2.2 观澜河水体中PAEs的时空分布

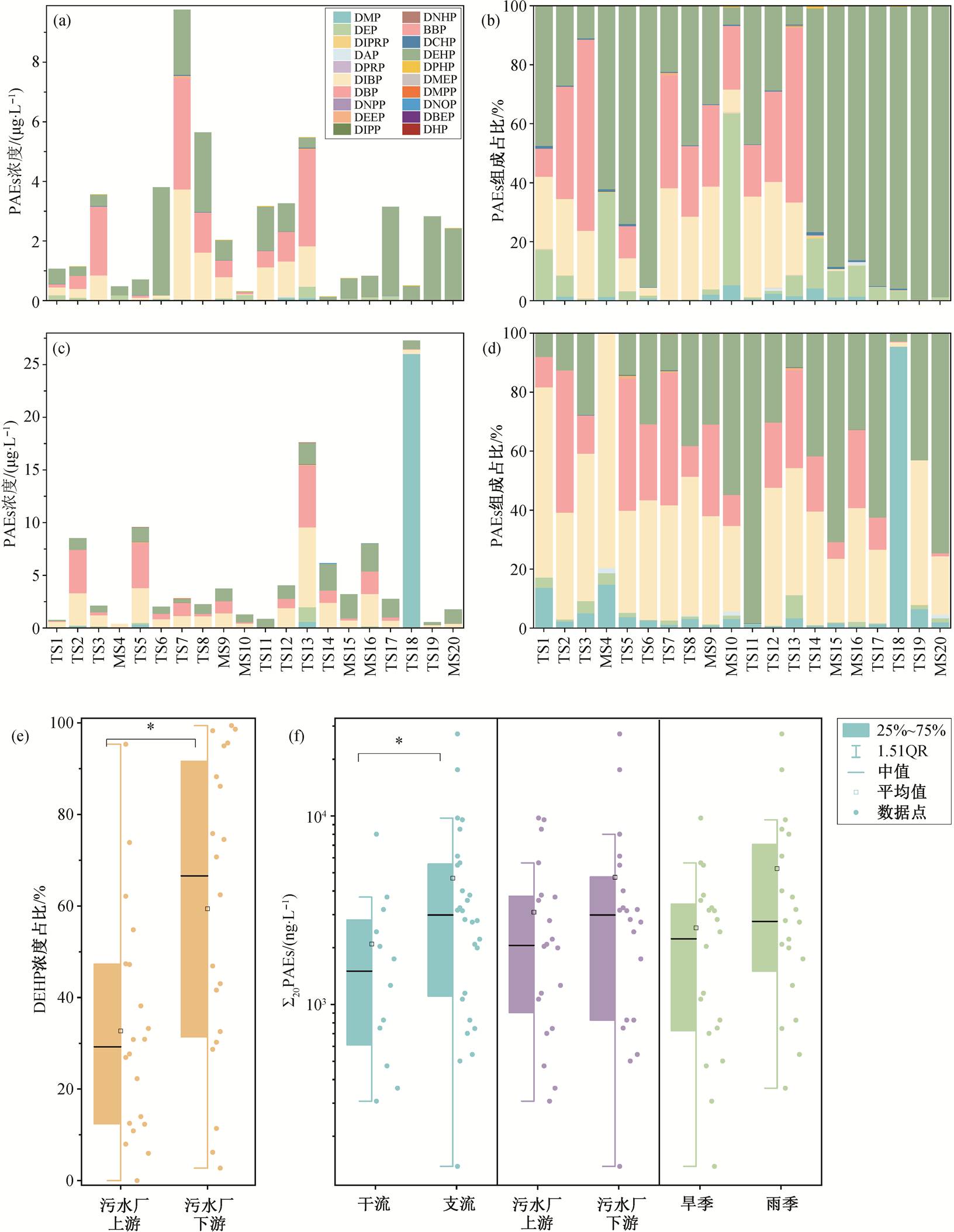
观澜河流域水体中 20 种 PAEs 的浓度和组成情况如图 2(a)~(d)所示。根据《地表水境质量标准》中关于 DBP 和 DEHP 浓度的规定, 旱季 TS7和TS13的 DBP 浓度超过标准, 雨季 TS2, TS5 和 TS13 的DBP 浓度超过标准, DEHP 浓度则全部达标。旱季Σ20PAEs 的平均浓度与位于水库区的 BS0 浓度更接近, 而雨季 Σ20PAEs 的平均浓度远高于 BS0 采样点, 说明在雨季出现特殊的污染源, 可能是雨季的大量地表径流引入 PAEs 的面源污染。从空间分布看, Σ20PAEs 浓度沿河分布不均匀。旱季 Σ20PAEs 的最高值出现在 TS7, 最低值出现在 TS14, 可能与 TS7采样点位于工业园附近有关。雨季 Σ20PAEs 的最高值出现在 TS18, 最低值出现在 MS4, 且雨季 TS18的 DMP 浓度远高于其他采样点, 可能与沿河人类生活和工业活动等有关。DMP 可用于增塑剂和化妆品(如头发喷雾剂)等产品中, 而该采样点附近分布着塑胶工模制品厂和理发店等场所, 可能导致DMP 浓度升高[4]

雨季和旱季的 PAEs 组分差异较明显, 在雨季, DEHP 的占比较旱季有所下降, 而 DIBP 和 DMP 的占比增加。原因可能是 DIBP 和 DMP 的亲水性比DEHP 更强[24], 在水量大的雨季更容易从底泥向水体迁移。在 PAEs 中, DEHP 具有较强的毒性, 为 2B类可能对人类致癌的化学物质[10], 因此本研究主要关注 DEHP 的浓度变化。DEHP 的浓度和检出率在旱季(平均值为 1203.67ng/L, 检出率为 100%)均略高于雨季(平均值为 955.55ng/L, 检出率为 95%), 并且在旱季的占比普遍高于雨季, 这与大部分的研究结论[10,22]相似。因此, 在今后的研究中应当更加重视旱季观澜河水体中的 DEHP 污染。此外, 旱季观澜河水体中 DEHP 占比大于 80%的采样点(TS6, TS14, MS15~MS16, TS17~TS19 和 MS20)几乎都位于污水处理厂的下游, 这些河段会接收污水处理厂的出水作为补水。同时, 统计分析结果表明, 污水厂下游采样点中 DEHP 的占比显著高于上游河段(p < 0.05)(图 2(e))。众所周知, DMP, DBP 和 DIBP 在污水处理厂的去除率远大于 DEHP[25]。因此, DEHP 残留浓度较高的污水厂出水进入观澜河后, 提高了污水厂下游水体中 DEHP 的占比。此外, 雨季采样点TS11 的 DEHP 占比远大于 80%, 需引起重视。

表2 观澜河流域PAEs的检出情况

Table 2 PAEs concentrations in Guanlan River

PAEs组分2021年4月(旱季)2021年7月(雨季)浓度/(ng∙L−1)检出率/%浓度/(ng∙L−1)检出率/%范围平均值中值范围 平均值中值 DMPND~91.5917.868.077011.15~26025.691401.5653.68100 DEP11.61~382.5380.5735.961001.63~1379.0099.5916.17100 DIPRP0.35~2.311.051.04100ND~0.890.08ND10 DAPND~30.402.880.3555ND~20.553.661.3465 DPRPND~1.110.430.3390ND~0.770.21ND45 DIBPND~3680.28557.6490.9265ND~7573.901506.84925.7295 DBPND~3726.86671.2971.3355ND~5831.701126.66284.3385 DMEPNDNDND0ND~3.490.17ND5 DNPPND~1.540.19ND20ND~3.000.16ND10 DMPPND~NDNDND0ND~3.830.38ND15 DEEPND~85.526.08ND10ND~129.8912.48ND25 DIPPND~11.121.02ND30ND~23.592.66ND25 DNHPND~1.510.10ND15NDNDND0 BBPND~3.680.18ND5ND~1.470.07ND5 DBEPND~NDNDND0NDNDND0 DCHPND~29.577.184.6195ND~24.662.61ND60 DHPNDNDND0ND~NDNDND0 DEHP18.32~3623.711203.67668.79100ND~2608.481105.41955.5595 DPHPND~1.500.590.5550NDNDND0 DNOPNDNDND0ND~2.400.31ND20 Σ20PAEs30.29~9755.872550.732232.21359.87~27247.015262.872760.67

说明: ND表示未检出。

观澜河干流水体中的 Σ20PAEs(平均浓度为2091.90ng/L)远低于支流(4684.62ng/L), 且具有显著性差异(p<0.05)(图 2(f)), 原因可能是支流上分布更多的潜在污染源(如生活垃圾转运站), 并且普遍情况下干流水量大, 流速快, 自净能力强[5], 使干流水体中 PAEs 浓度降低。雨季(5262.87ng/L)较旱季(2550.73ng/L)污染严重, 说明雨季时大量的地表径流和雨水冲刷会造成更多污染物随溢流进入观澜河。PAEs 中的 DIBP, DBP 和 DEHP 等物质主要源于化妆品、个人护理品和塑料制品等, 这些物质的来源与居民生活活动密不可分, 因此从时间的角度看, 雨季(5~9 月)气温较高, 人们的亲水活动比旱季更加频繁和剧烈, 使得 PAEs 相关产品的使用量及其进入观澜河中的可能性增加, 从而导致观澜河水体中雨季的污染物含量高于旱季[10]。此外, PAEs 污染在污水厂下游河段(4727.47ng/L)比其上游河段(3086.23ng/L)更严重。

width=467.75,height=603.7

(a)和(b)分别为旱季(2021 年 4 月)20 种 PAEs 的浓度和组成; (c)和(d)分别为雨季(2021 年 7 月)20 种 PAEs 的浓度和组成; (e)为 DEHP在污水厂上下游的浓度占比; (f)为 PAEs 在干流与支流、污水厂上下游以及不同季节的浓度对比。*表示 p < 0.05

图2 观澜河水中PAEs浓度的时空分布

Fig. 2 Spatial-temporal contribution of PAEs in Guanlan River

2.3 观澜河水体中PAEs的来源分析

PAEs 浓度空间分布的不均匀性表明其来源的差异, 水体中 PAEs 的组成可能与其在该区域的利用量和释放量有关[10]。Spearman 相关性分析结果(图 3)表明, DEP 与 DCHP, DPHP 与 DIPRP, DPRP 与DCHP, DIBP 与 DBP, DIBP 与 DEEP, DBP 与 DEEP, DMEP 与 BBP, DMPP 与 DEEP 以及 DEEP 与 DIPP显著正相关, 相关系数为 0.604~0.850, 说明其污染源相同或相似。其中, DIBP 与 DBP 互为同分异构体, 是塑料、合成橡胶和人造革等的常用增塑剂, 可由邻苯二甲酸酐和正丁醇加热酯化制得[26]。有研究发现, 塑料是 DEHP 的主要来源, 也是生活垃圾中主要的 PAEs 类污染物[27]; DEP 和 DBP 主要应用于化妆品和个人护理品中[23], DIPRP 可用于驱蚊油中[28], 因此, DEP, DBP 和 DIPRP 等也可以通过生活垃圾排放到环境中。可见, 观澜河流域水体中PAEs 的来源复杂, 包括塑料、化妆品和个人护理品等。在研究区域的主要行业中, 橡胶行业占据很大的比例, 观澜河中 PAEs 的污染来源与研究区域的橡胶行业密切相关。建议相关部门加强对沿河区域橡胶和汽修等行业企业的监督管理, 及时清理转运塑料制品的生活垃圾, 避免塑料入河。

width=311.75,height=249.5

图3 观澜河流域PAEs单体间的Spearman相关系数

Fig. 3 Spearman correlation coefficient of PAEs in Guanlan River

width=464.9,height=243.7

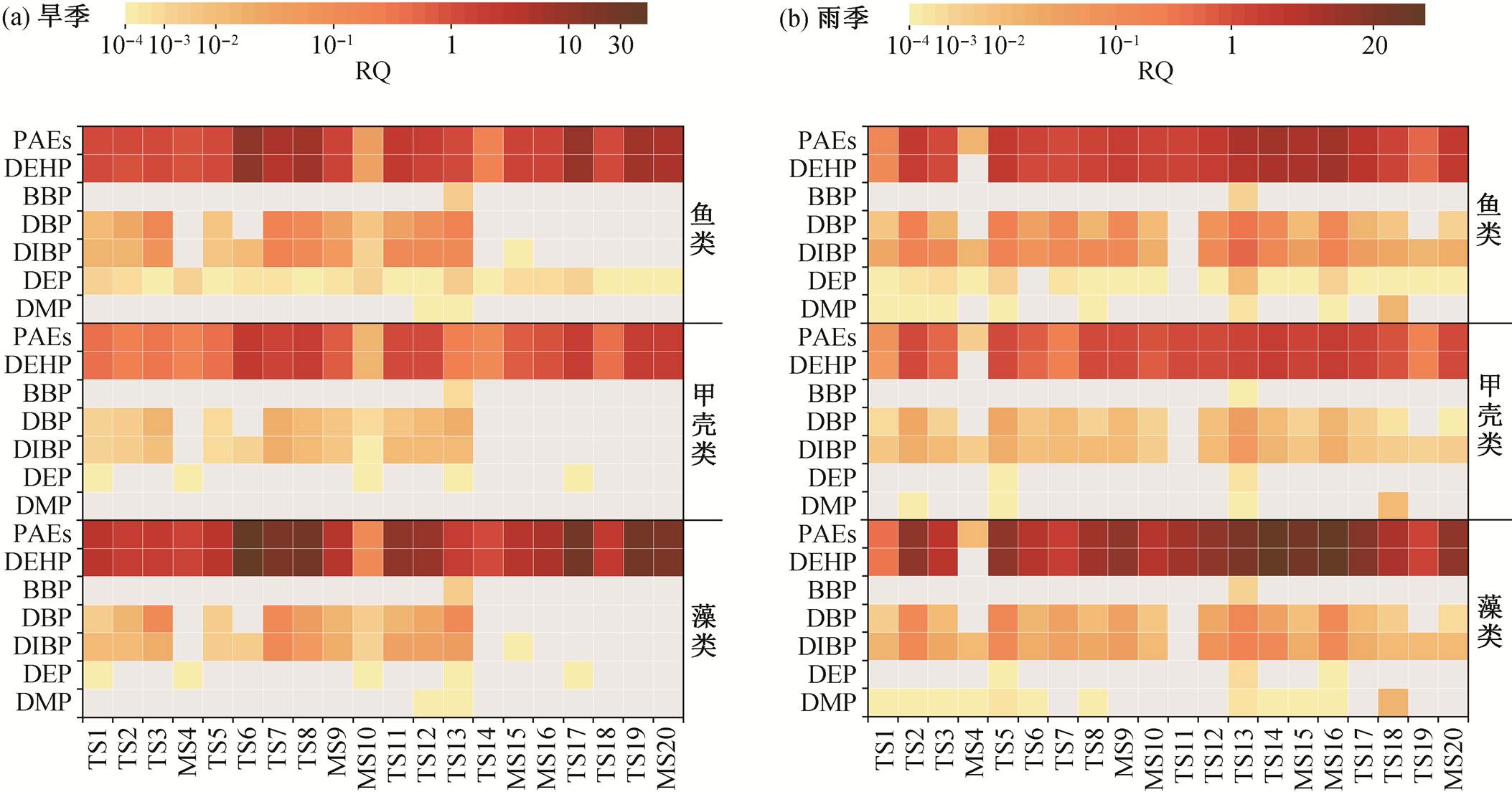
图4 观澜河水体中PAEs生态风险商值(RQ)

Fig. 4 Ecological risk quotient of PAEs in Guanlan River (RQ)

2.4 观澜河水体中PAEs的生态风险

观澜河中 6 种 PAEs 的 RQ 值范围是 0~36.24(图4), 其中, DEHP 对藻类、甲壳类和鱼类 3 种敏感生物的生态风险商值最大。观澜河中 6 种 PAEs 对3 种敏感生物的生态风险大小顺序分别为 DEHP > DIBP > DBP > BBP > DMP > DEP (藻类)、DEHP > DIBP > DBP > DMP > BBP > DEP (甲壳类)以及DEHP > DIBP > DBP > DMP > DEP > BBP (鱼类)。6种PAEs均表现出对藻类的风险最高, 对甲壳类的风险最低, 且旱季的生态风险比雨季高。DEHP 一直是我国水体中 PAEs 的主要组分, 在水体和沉积物中均有较大程度的检出, 并且 DEHP 是使用最广泛的一种 PAEs 类塑化剂, 其产量约占 PAEs 类塑化剂产量的一半[5,29]。综合 6 种物质的生态风险可知, 大部分采样点对 3 种敏感生物的生态风险商值处于高风险范围内(RQ>1), 表明观澜河流域在大规模治理后 PAEs 的生态风险仍然较高, 需要引起重视, 尤其需要提高 DEHP 在污水厂的去除效率, 或者开发易被去除的替代品。

3 结论

1)观澜河水体中的∑20PAEs 在 2021 年旱季和雨季的平均浓度分别为 2550.73 和 5262.87ng/L, 旱季和雨季水体中含量最高的分别是 DEHP 和 DIBP, 平均浓度分别为 1203.67 和 1506.84ng/L。DEHP 占比在污水厂下游河段显著高于上游河段(p<0.05)。观澜河水体中未受环境法规监管的 PAEs (如 DBEP和 DHP)在旱、雨两季均未检测到, DIPRP, DPRP, DMEP, DNPP, DMPP 和 DEEP 等新型 PAEs 的检出浓度较低。

2)时空分析结果表明, 2021 年观澜河干流水体中∑20PAEs 显著低于支流(p<0.05)。水体中 PAEs 污染雨季比旱季严重, 污水厂下游河段比上游严重。

3)源解析结果表明, 2021 年观澜河流域水体中PAEs 的来源包括塑料、化妆品和个人护理品等。建议相关部门加强对沿河区域内橡胶和汽修等行业企业的监督管理, 并及时清理、转运塑料制品的生活垃圾。

4)生态风险评估结果表明, 2021 年观澜河流域大部分采样点的 PAEs 生态风险商值大于 1, 表明PAEs 的生态风险较高, 尤其要重视 DEHP 的生态风险, 亟需研究提高污水厂 DEHP 去除效率的方法或者开发易被去除的替代品。

参考文献

[1] Hou Yin, Tu Mengchen, Li Cheng, et al. Risk assess-ment of phthalate esters in Baiyangdian Lake and typi-cal rivers in China. Toxics, 2023, 11(2): 180

[2] Lu Hao, Chen Dezhen, Zhu Zhili, et al. Atmospheric phthalate esters in a multi-function area of Hangzhou: temporal variation, gas/particle phase distribution, and population exposure risk. Sci Total Environ, 2023, 894: 163987

[3] Cao Yaru, Xu Shaopeng, Zhang Kai, et al. Spatiotem-poral occurrence of phthalate esters in stormwater drains of Hong Kong, China: mass loading and source identification. Environ Pollut, 2022, 308: 119683

[4] Schmidt N, Castro-Jimenez J, Fauvelle V, et al. Occur-rence of organic plastic additives in surface waters of the Rhone River (France). Environ Pollut, 2020, 257: 113637

[5] 卓丽, 石运刚, 蔡凤珊, 等. 长江干流、嘉陵江和乌江重庆段邻苯二甲酸酯污染特征及生态风险评估. 生态毒理学报, 2020, 15: 158–170

[6] 赵胜利, 杨国义, 张天彬, 等. 珠三角城市群典型城市土壤邻苯二甲酸酯污染特征. 生态环境学报, 2019, 18: 128–133

[7] 昌盛, 樊月婷, 付青, 等. 北江清远段地表水及沉积物中酞酸酯的分布特征与风险评估. 生态环境学报, 2019, 28: 822–830

[8] 陶斯湄, 朱冬林, 陈艳华, 等. 珠三角地区人群血浆中邻苯二甲酸酯的暴露水平研究. 分析测试学报, 2019, 38: 1315–1320

[9] 杨梅, 扈志勇, 蒲俊兵, 等. 重庆典型岩溶区地下河水体PAEs分布特征研究. 中国环境监测, 2009, 25: 62–66

[10] 弥启欣, 国晓春, 卢少勇, 等. 千岛湖水体中邻苯二甲酸酯(PAEs)的分布特征及健康风险评价. 环境科学, 2022, 43: 1966–1975

[11] 时瑶, 马迎群, 秦延文, 等. 大辽河表层水中邻苯二甲酸酯分布特征及环境健康风险评价. 生态毒理学报, 2016, 11: 197–206

[12] 韩文辉, 赵颖, 党晋华, 等. 汾河流域邻苯二甲酸酯的分布特征及生态风险评价. 环境化学, 2017, 36: 1377–1387

[13] Zhu Tingting, Zhu Youchang, Liu Yunlang, et al. Poly-brominated diphenyl ethers in water, suspended parti-culate matter, and sediment of reservoirs and their tri-butaries in Shenzhen, a mega city in South China. Environ Sci Pollut Res Int, 2023, 30: 53524–53537

[14] 李钟瑜. 上海市某河流中邻苯二甲酸酯的污染特征. 皮革制作与环保科技, 2023, 4: 87–88

[15] Zhu Qingqing, Xu Longyao, Wang Wanyi, et al. Occur-rence, spatial distribution and ecological risk asses-sment of phthalate esters in water, soil and sediment from Yangtze River Delta, China. Sci Total Environ, 2022, 806: 150966

[16] Ren Jianan, Zhu Ningzheng, Meng Xiangzhou, et al. Occurrence and ecological risk assessment of 16 phthalates in surface water of the mainstream of the Yangtze River, China. Environ Sci Pollut Res Int, 2023, 30: 66936–66946

[17] Xu Hui, Liu Yang, Xu Xiong, et al. Spatiotemporal variation and risk assessment of phthalate acid esters (PAEs) in surface water of the Yangtze River Basin, China. Sci Total Environ, 2022, 836: 155677

[18] Dong Lei, Li, Li, Pan Xiong, et al. Distribution dyna-mics of phthalate esters in surface water and sediment of the middle-lower Hanjiang River, China. Int J Environ Res Public Health, 2022, 19(5): 2702

[19] Hu Junjie, Liu Jinhuan, Lv Xiaomei, et al. Assessment of epigenotoxic profiles of Dongjiang River: a compre-hensive of chemical analysis, in vitro bioassay and in silico approach. Environ Pollut, 2021, 282: 116961

[20] 王瑞霖, 冉艳, 黄维, 等. 三峡库区御临河邻苯二甲酸酯类的空间分布特征及关键环境影响因子. 土木与环境工程学报(中英文), 2022, 44: 193–220

[21] 秦伟, 白文荣, 周明月, 等. 北运河表层水体中微量有机污染物分布特征及潜在风险. 环境科学学报, 2019, 39: 649–658

[22] Wang Manli, Lu Jianjiang, Zhou Li, et al. Residual status and source analysis of phthalate esters in Ulun-gur Lake, China. Environ Geochem Health, 2023, 45: 5991–6007

[23] Zhao Xia, Shen Jimen, Zhang Hang, et al. The occur-rence and spatial distribution of phthalate esters (PAEs) in the Lanzhou section of the Yellow River. Environ Sci Pollut Res Int, 2020, 27: 19724–19735

[24] 任家楠, 孟祥周. 河流水体中邻苯二甲酸酯的污染特征与毒性研究进展. 广东化工, 2022, 49: 127–116

[25] Salaudeen T, Okoh O, Agunbiade F, et al. Fate and impact of phthalates in activated sludge treated municipal wastewater on the water bodies in the Eastern Cape, South Africa. Chemosphere, 2018, 203: 336–344

[26] Chen Hui, Mao Wei, Shen Yiqiu, et al. Distribution, source, and environmental risk assessment of phthalate esters (PAEs) in water, suspended particulate matter, and sediment of a typical Yangtze River Delta City, China. Environ Sci Pollut Res Int, 2019, 26: 24609–24619

[27] 张彦鹏, 周爱国, 刘存富, 等. 长江流域武汉段 水体中邻苯二甲酸酯含量研究. 环境科学与技术, 2011, 34: 130–134

[28] 吴惠勤, 朱志鑫, 黄晓兰, 等. 不同类别食品中 21种邻苯二甲酸酯的气相色谱–质谱测定及其分布情况研究. 分析测试学报, 2011, 30: 1079–1087

[29] 董磊, 汤显强, 林莉, 等. 长江武汉段丰水期水体和沉积物中多环芳烃及邻苯二甲酸酯类有机污染物污染特征及来源分析. 环境科学, 2018, 39: 2588–2599

Distribution Characteristics and Ecological Risk of 20 Phthalate Esters in Water from Guanlan River Basin

DONG Yanran, ZHANG Yanli, ZHU Youchang, CUI Sihan, LI Dianbao, XU Nan

Key Laboratory for Heavy Metal Pollution Control and Reutilization, School of Environment and Energy, Peking University Shenzhen Graduate School, Shenzhen 518055; †Corresponding author, E-mail: xunan@pkusz.edu.cn

Abstract Taking the Guanlan River in Shenzhen as an example, this study investigated the pollution level, spatiotemporal distribution, sources, and ecological risks of 20 phthalate esters (PAEs) in river water. It was found that in 2021, the concentrations of the 20 PAEs (Σ20PAEs) ranged from 30.29–9755.87 ng/L with an average of 2550.73 ng/L in the dry season (DS) and 359.87–27247.01 ng/L with an average of 5262.87 ng/L in the wet season (WS), respectively, being higher in the WS than those in the DS. The Σ20PAEs in the water of the Guanlan River were significantly lower in the main stream than those in the tributaries (p < 0.05). Moreover, their pollution was more serious downstream of wastewater treatment plants (WWTPs) than upstream. The contents of bis(2-ethylhexyl) phthalate (DEHP) and di-isobutyl phthalate (DIBP) were the highest in the DS and WS, respectively. The proportion of DEHP was significantly higher downstream of WWTPs than upstream (p < 0.05). Source analysis indicated that PAEs in the Guanlan River originated from diverse sources such as plastics, cosmetics, and personal care products. The ecological risk assessment revealed that PAEs posed the greatest risk to algae. The risk quotients (RQs) of most samples were greater than 1, indicating a high ecological risk of PAEs in the Guanlan River. Among them, DEHP should be given special attention.

Key words PAEs; Guanlan River; temporal-spatial distribution; source analysis; ecological risk assessment