北京大学学报(自然科学版) 第60卷 第6期 2024年11月

Acta Scientiarum Naturalium Universitatis Pekinensis, Vol. 60, No. 6 (Nov. 2024)

doi: 10.13209/j.0479-8023.2024.069

国家重点研发计划(2022YFF0800301)资助

收稿日期: 2023–10–13;

修回日期: 2023–12–19

1.32 Ga 基性岩床侵位的环境效应探究

张朝鲲1 田伟1,† 何衍鑫1 朱伟鹏1 李舜2

1.北京大学地球与空间科学学院, 北京 100871; 2.复旦大学信息科学与工程学院, 上海 200433; 通信作者, E-mail: davidtian@pku.edu.cn

摘要 为了探究中元古代时期地球深部动力与全球碳循环过程、环境变化及星球演化的关系, 选取北京黄土贵剖面, 对 1.32Ga 燕辽地区基性岩床的侵位特征及环境效应进行研究。通过岩石学及数值模拟分析, 发现1.32Ga 基性岩床以“岩浆指”的形态侵位于围岩中, 对围岩产生显著的热效应, 使富碳围岩中有机质的镜质体反射率显著提升, 有机质由未成熟阶段演化至过成熟阶段; 该期基性岩床侵位于华北以及北澳大利亚克拉通地层, 热释气量可达 3.61×1012t当量的 CO2, 促进地壳沉积物中碳的活化, 具有明显的环境效应。

关键词 燕辽地区; 基性岩床; 环境效应; 中元古代; 数值模拟

大火成岩省(large igneous provinces, LIPs)是一种在较短时间内发生的、规模宏大的、以板内基性岩为主的幔源岩浆活动产物[1], 对驱动全球环境变动及生命演化有重要影响[2–6]。大规模基性岩床是大火成岩省的重要组成部分, 其侵位于地层中, 与围岩发生物理–化学反应, 促进围岩中碳的活化, 产生的气体(CO2, CH4 和 SO2 等)量不亚于岩浆活动喷发的释气量[7–12], 环境效应显著。前人在探究显生宙时期岩浆热释气过程与环境的关系方面做了大量工作[1–6], 但碍于太古宙–元古宙时期的地质记录时代久远, 易受后期地质作用改造, 地球早–中期由地球深部动力引起的岩浆热释气与星球环境变化的耦合关系尚不明晰。如今, 随着数值模拟方法在地质模型定性转化及地质过程定量分析中的应用日益广泛, 越来越多的学者将其应用于岩床的侵位–释气过程模拟中, 以期了解岩床侵位对围岩的影响及环境效应[13–16]。这为探究地球早–中期岩浆活动与星球环境的耦合关系提供了新的途径。

华北克拉通北缘发育一套规模较大的中元古代基性岩床[1]。Zhang 等[17]通过研究这套岩床的侵位时代和地球化学特征, 提出“燕辽大火成岩省”的概念。这套基性岩床与北澳大利亚克拉通 McArthur盆地内的 Derim Derim 岩床群具有许多相似的特征, 可构成一个统一的全球性大火成岩省。这期岩床的侵位时间峰值为 1323Ma, 是华北克拉通对哥伦比亚超大陆裂解的最终响应[17]。同时期, 大量含碳气体释放, 全球环境剧变[3,6,18]。因此, 对该期岩床环境效应的研究有助于一窥地球“中年时期”地球深部活动与全球碳循环过程、环境变动进程及星球演化的关系。

本文基于北京黄土贵地区的 1.32Ga 基性岩床出露剖面, 根据野外产出特征剖析岩床侵位过程, 利用热接触变质模型反演岩床侵位过程中温室气体的释放速率与释放量, 厘清岩浆侵入对华北下马岭组烃源岩生烃演化的影响, 探索地球早–中期大规模岩浆侵入可能引发的环境效应。

1 地质背景

华北克拉通北缘燕辽地区元古代地层中可见多期岩浆活动记录, 其中距今约 1.32Ga的基性岩床记录西起张家口宣化–蔚县, 东至辽东半岛, 出露于河北北部、北京、天津和辽宁[19], 东西长超过 700km, 南北长超过 200km, 总覆盖面积超过 1.4×105km2, 具有规模大、时间短以及板内岩浆岩地球化学组成的特征, 岩性主要为辉绿岩[17]。该期岩床主要侵位于下马岭组, 铁岭组、雾迷山组和高于庄组亦可见其侵位, 累计厚度从 50m 至 1800m 不等, 从东北至西南方向累计厚度逐渐减小(图 1)。

本文研究区位于北京市门头沟区黄土贵村及周边, 1.32Ga 基性岩床侵位记录保存良好, 出露于该村西南青杨路的中元古界下马岭组剖面(40°1′95″N, 115°78′69″E—40°1′48″N, 115°46′33″E)。该剖面地层厚度约为 340m, 可见下一段、下二段和下三段沉积记录, 与上覆龙山组及下伏铁岭组均为角度不整合接触关系(图 2)。在下马岭组地层沉积时期, 研究区处于深水陆棚与浅水陆棚的过渡地区[21]。研究区剖面中主要见 3 套 1.32Ga 基性岩床记录, 岩床侵位于富有机质页岩中[22], 总体上呈西北–东南方向延伸, 短轴长度可达 150m, 厚度分别为 25, 35和 50m, 岩性以辉绿岩为主(图 3(d))。

2 岩床岩石学特征

本研究的野外样品采集和岩石薄片制作在廊坊市晨硕岩矿检测技术服务有限公司的协助下开展。研究区基性岩床的岩石呈块状构造, 部分遭受球形风化(图 4(b))。显微镜下, 基性岩为辉绿结构(图 3 (d)), 矿物颗粒呈半自形粒状, 主要矿物为斜长石(55%~60%)、单斜辉石(30%~35%)和角闪石(5%~ 10%)。斜长石比单斜辉石的结晶时间早、自形程度高, 边缘发生轻微的绿帘石化蚀变。单斜辉石边缘因局部角闪石化而呈现残余结构(图 3(d))。

3 岩床侵位特征

前人建立的力学模型认为岩床侵位于围岩时, 围岩表现为纯弹性介质, 岩床以水力劈裂的形式侵位生长[25–27]。然而, 近年来基于实地观察[28–30]和三维地震数据[23,29,31]的研究结果表明, 岩床侵位时, 围岩(特别是当其为页岩之类脆弱岩层时[29,32–34])可以发生非弹性变形[28], 岩床以“叶状形态”发育于围岩中, 呈手指状展布[35], 这种现象被称为“岩浆指” (magma finger)(图 3(a))[24,35], 岩浆指的长轴方向被视为指示岩浆流动方向的重要指标(图 3(b))[24]。在黄土贵 1.32Ga 基性岩床侵位发育剖面中, 岩床与围岩层系几乎平行, 两者接触的区域可见一系列垂直于侵入岩床边缘的次级断裂(图 3(c)), 为典型的冷缩节理, 指示岩床侵入体以当前岩浆指形态冷却成岩[24]。图 3(c)中可见岩浆指Ⅰ和Ⅱ, 倾向分别为55°EN 与 20°EN, 走向分别为 SE 和 SW, 指示形成这两个岩浆指的岩浆流有相互汇聚的趋势。岩浆指Ⅰ和Ⅱ侵入的围岩以页岩为主, 发生显著的弹性变形及脆性变形, 围岩层系 A~F 均可见褶皱变形, 同时, 围岩层系中发育多条微断层和多边形断层(图3(c)), 是侵入时岩浆流于接触带处, 发生高温高剪切速率扩展造成的[36]。富有机质黑色页岩层与岩床接触边缘处颜色明显变浅(图 4(a)~(c)), 可能是岩床侵位引起的页岩角岩化及脱碳化造成的。

Magee 等[33]指出, 随着岩床侵位围岩的程度不断加深, 就位岩浆向岩浆指边缘横向传播, 岩浆指热膨胀, 围岩被不断侵蚀和抬升, 岩浆指间的距离缩短, 以岩浆指为特征的岩床裂片彼此汇合, 形成一个连续的阶梯状薄片, 根据岩浆指的发育程度, 可以反演岩床侵位发育趋势。如图 4 所示, 黄土贵剖面中点位 1~3的基性岩床处于同一期岩床单元中, 点位 1 的基性岩床发育为一个连续的阶梯状薄片, 厚度为 2.5~7m, 宽度可达 8m; 点位 2 的基性岩床发育两根岩浆指, 且边缘已经部分汇合, 厚度为 4~6.5m, 宽度为 3~5.5m; 点位 3 的基性岩床发育 3 根岩浆指, 厚度为 3.5~5m, 宽度为 2.5~4m。可见, 从点位 1 至点位 3, 岩浆指一体化趋势减弱, 岩床裂片汇合程度降低, 反映岩床侵位的发育趋势。

width=473.25,height=510

图1 燕辽地区1.32 Ga 基性岩床典型分布区域地层柱状图(据文献[17]修改)

Fig. 1 Stratigraphic column diagram of typical area of 1.32 Ga mafic sills in Yanliao area (modified from Ref. [17])

4 岩床侵位热效应模拟

岩浆指的出现及围岩弹性及塑性变形的产生, 表明岩床侵位的热效应会对围岩产生显著的影响。前人的研究结果也表明, 岩床侵位围岩产生的热效应对环境的影响显著[7–12]。Svensen 等[37]指出, 西伯利亚大火成岩省 2.5×106km2 范围内岩床侵位的CO2 释放量可达 2.74×1013t。考虑到燕辽大火成岩省分布面积可达 1.4×105km2, 加上同期分布面积达到 1.6×105km2 的北澳大利亚 Derim Derim 岩床群, 1.32Ga 基性岩床侵位产生的热效应不容忽视。

width=476.25,height=272.25

(a)黄土贵及周边地区地质图, 据文献[20]修改; (b)岩床出露点位分布, 底图来自Google Earth

图2 北京黄土贵地区地质图及基性岩床出露点位

Fig. 2 Geological map and the outcrop locations of the Huangtugui area in Beijing

width=476.25,height=237.75

(a)三维地震解释下的岩浆指特征(修改自文献[23]), VE为垂直放大比率; P1和P2分别指示岩床的顶、底面; (b)岩浆指及其指示的岩浆流动方向(修改自文献[24]); (c)黄土贵剖面岩浆指Ⅰ和Ⅱ野外结构特征(拍摄于图2(b)中点位4), 粉色部分为基性岩床, 其中黑色曲线表示岩床的冷缩节理, 极射赤平投影指示岩床倾向, 红线指示微断层; (d)图2(b)中点位1处辉绿岩样品显微镜下照片(正交偏光), 其中Pl为斜长石, Cpx为单斜辉石, Hbl为角闪石

图3 岩浆指发育特征

Fig. 3 Characteristics of magma fingers

width=354,height=354

(a)~(c)岩床(红色区域)发育特征; (d)岩床发育模式; (e) 3个野外观测点的位置, 底图来自 Google Earth

图4 黄土贵地区基性岩床发育特征

Fig. 4 Field characteristics of maifc sills in Huangtugui area

目前, 计算岩床侵位热效应的方法主要有 3 种: 1)将区域内岩床的总体积折合成系数(通常为 1:2)后计算岩床侵位接触带的总体积, 根据接触带地层内的碳含量估算岩床侵位引发的热效应, 但是该方法不能获得岩床侵位产生的热效应随时间变化的信息[7,37]; 2)建立热力学模型, 分别计算区域内每条分支岩床的岩浆流通量、冷却速率及对围岩的热效应, 但该方法需要大量的地球物理数据和高分辨率的地质年代学数据对单个岩床的总面积、体积和年龄进行约束[14,38]; 3)根据典型区域的地层柱状分布特征建立热力学模型, 恢复岩床侵位产生的热效应, 并且将结果扩大至岩床侵位的整个区域[39–40]。本研究拟根据第三种方法, 基于北京黄土贵地区地层柱的分布特征, 利用 Iyer 等[39]使用一维有限元方法(FEM)建立的 SILLi 1.0 1D 模型, 对 1.32Ga 基性岩床侵位产生的热效应进行模拟。

SILLi 1.0 1D 模型根据沉积时代, 将地层柱中各套地层(包括侵蚀层)排序, 沉积速率由该套地层的厚度和该套地层与其下部地层的沉积时代之差决定。根据地热与能量扩散方程, 在特定的边界温度条件下, 计算地层柱中各套地层的温度变化。侵蚀层的沉积过程与各套地层的沉积过程相同, 侵蚀过程在设定时间内瞬时发生, 对地层柱顶、底的温度边界条件也做了相应的调整。使用岩石的有效比热容计算结晶潜热[13,40]。当岩床侵位于围岩时, 地层温度在一定范围内升高, 根据修正的热扩散方程反演岩床侵位引发的岩床脱水反应[41–42]。各套地层的热成熟度采用 EASY%Ro 算法, 根据阿伦尼乌斯一阶平行反应方程式, 模拟干酪根随温度升高而分解的复杂过程, 可获得各层位的镜质体反射率[43]。该模型计算得到的含碳气体热效应释放量以 CO2 为当量, 有机 CO2 释放量根据岩床侵位前后围岩 TOC含量的变化来恢复(设定围岩 TOC 的最大转化率为85%)[39], 无机 CO2 释放量根据利用 Perplex_X 预先计算获得的相图中碳酸盐岩层温度与压力随时间的变化曲线估算得到[44]

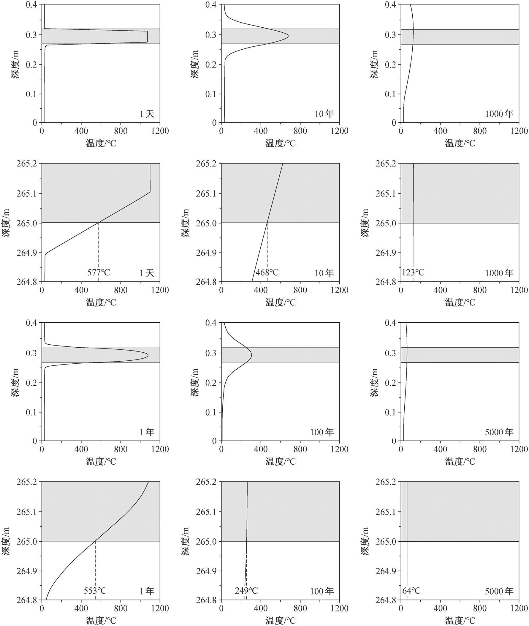
根据北京黄土贵地区各套地层的发育特征, 依照岩石类型, 将岩石参数(表 1)[9]输入 Excel_input 文件中, 并导入SILLi 1.0 1D模型进行热模拟分析, 得到岩床侵位后地层柱中水下真垂直深度(true verti-cal depth subsea, TVDSS)与温度、镜质体反射率、TOC 含量、Tmax(岩床侵位后围岩的最高温度)、压力、无机 CO2 产率以及有机 CO2 产率之间的关系(图 5)。

热模拟结果表明, 1.32Ga 基性岩床侵位于下马岭组页岩层, 岩床冷却时间持续 7690 年, 使接触带围岩温度显著增高, 围岩最高温度可达 577℃, 但一般低于 200℃。岩床可在 1000 年的时间内显著地影响围岩温度场, 对其周围 0.2m 范围内的围岩温度场扰动最明显(图 6)。EASY%Ro 算法反演结果表明, 岩床侵位使围岩的镜质体反射率(Ro)显著增高,最高可达 4.69%(图 7(a)), 并使围岩 TOC 含量显著降低, 最低降至 0.17%(图 7(b))。该期岩床侵位的有机成因 CO2 释放速率可达 1.538×103kg/(m2·a), 有机成因 CO2 释放总量可达 10.05t/m2 (图 8(a))。由于地层柱中岩床未侵入碳酸盐岩层, 该期岩床侵位未造成显著的无机成因 CO2 释放, 无机成因 CO2 释放速率及释放总量均为 0(图 8(b))。

表1 岩石参数及数值[9]

Table 1 Rock properties[9]

岩性 密度/(kg·m−3)有效比热容/(J·(kg·C)−1)热传导系数/(W·(m·K)−1)有机质成熟潜热/(kJ·kg−1) 砂岩250010001.8376 页岩–粉砂岩250010001.8376 泥质碳酸盐岩–灰岩255010001.8376 白云岩240010002.0376 辉绿岩2700 8502.1 0

width=476.25,height=306

阴影表示岩床侵位范围, 下同

图5 基于北京黄土贵地区地层分布特征的1.32 Ga基性岩床侵位热模拟结果

Fig. 5 Thermal simulation results of the emplacement of 1.32 Ga mafic sills based on the stratigraphic column of the Huangtugui area in Beijing

width=465,height=549.75

图6 岩床侵位后围岩温度场随时间的变化

Fig. 6 Covariation of temperature and time since the sill emplacement

width=334.5,height=147

图7 岩床与围岩接触带镜质体反射率和TOC含量变化趋势

Fig. 7 Variation of vitrinite reflectance and total organic carbon (TOC) in the contact zone between sill and surrounding rocks

5 讨论

5.1 岩床侵位与有机质生烃演化

Othman 等[45–46]指出, 如果围岩富含有机质, 岩床侵位时的岩浆散热会使其达到异常高温, 促进有机质的生烃演化。1.32Ga 基性岩床侵位于下马岭组页岩层, 而下马岭组被视为燕辽地区重要的中元古界烃源层[47], 岩床的侵位显然会影响这套地层中有机质的生烃演化。如图 9 所示, 野外实测后折合的等效镜质体反射率与热模拟镜质体反射率之间具有较好的线性关系, 一致性指标 R2 可达 0.9958, 表明模拟结果有效地反映了岩床侵位对围岩有机质热成熟的影响。模拟结果表明, 围岩镜质体反射率平均增加 6.63 倍, 有机质由未成熟阶段演化至过成熟阶段。此外, 热模拟及实测等效镜质体反射率结果表明, 一期 50m 厚的岩床侵位对围岩有机质热成熟度的影响范围可以达到 140m, 使单期岩床厚度 2.8倍范围内的围岩有机质热成熟度得到改造(图 10)。

5.2 岩床侵位产生的环境效应

本文基于北京黄土贵地区地层分布特征, 利用SILLi 1.0 1D 模型进行热模拟, 结果表明 1.32Ga 岩床侵位于围岩的 CO2 释放量可达 10.05t/m2, 考虑到该期岩床的侵位面积可达 3.0×105km2, 岩床侵位可释放相当于 3.02×1012t 当量的 CO2。根据 McCart-ney 等[48]提出的基性岩浆喷发释气当量(1.8×106t/km3 CO2), 计算得到当期大火成岩省喷发释气量为 5.94×1011t 当量的 CO2, 岩床侵位释气量为其 5.08倍。从总体上来看, 该期岩浆活动释放的气体量为3.61×1012t 当量的 CO2, 相当于西伯利亚大火成岩省释放 CO2 量的 13.18% (2.74×1013t[37]), 相当于中大西洋大火成岩省释放 CO2 量的 69.56%(5.19×1012 t[49]), 相当于现今大气圈中 CO2 量的 1.20 倍(约 3.0× 1012t[50])。考虑到黄土贵地区 1.32Ga 岩床侵位地层的累计厚度低于该期岩床侵位地层的平均厚度, 且该期岩床单元同样侵入雾迷山组等巨厚碳酸盐岩层, 产生巨量无机成因 CO2(每千克白云石可释放240g CO2[10]), 加上岩床侵入地层中与富 S 和 Cl 的副矿物(如黄铁矿)反应, 同样可产生 SO2 和 CH3Cl等温室及有毒气体[51], 该期岩床侵位的热释气量可能更大, 造成地壳沉积物中碳的显著活化。

width=374.25,height=147

图8 岩床侵位的CO2释放速率(实线)及释放总量(虚线)

Fig. 8 Modeled CO2 release rate (solid lines) and cumulative production (dotted lines) triggered by sill emplacement

width=156,height=150

图9 实测等效镜质体反射率与模拟镜质体反射率的关系

Fig. 9 Relationship between measured equivalent vitrinite reflectance and thermally simulated vitrinite reflectance

width=156,height=150

图10 岩床侵位与围岩镜质体反射率的关系

Fig. 10 Relationship between sill emplacement and organic matter thermal maturity of surrounding rocks

该期岩床的侵位时间为中元古代, 那个时期生物门类较为简单, 岩床侵位产生的热效应可能不会对当时的地球生态系统产生显著的影响, 但是对全球环境的影响不容忽视。该期岩浆活动大量释放的CO2 和 SO2 等气体会造成全球增温及海水酸化, 同时加剧岩石的风化, 增加降水量, 形成大量地表径流来协助输送营养盐。海水酸化使岩石溶解度增高, 促进大量无机盐汇入海水体系。岩浆活动产生的熔岩以及火山灰的水解有利于海水营养化, 浅海海域可形成一个温暖、低盐、富营养的环境, 有利于浮游藻类等原核生物的繁盛[52]及生烃母质的形成[53] (图 11)。

5.3 岩床侵位热效应模拟结果的局限性

利用 SILLi 1.0 1D 模型对岩床侵位热效应进行模拟, 可以加深对 1.32Ga基性岩床侵位环境效应的认识。但是, 本文热模拟结果具有以下局限性: 1)由于该热模拟模型是基于一维有限元方法建立的, 因此无法模拟三维层面上岩床侵位热效应随时间变化的信息; 2)在利用 EASY%Ro 算法分析岩床侵位对围岩镜质体反射率的影响时, 未对该指标的峰值进行限定, 且考虑到岩床侵入的围岩沉积时代久远, 露头埋藏史恢复难度较大, 现今未受辉绿岩床烘烤区域的围岩热成熟度较低(Ro≤0.7%), 证明围岩长期处于抬升或浅埋深状态, 因而未对围岩显生宙埋藏史进行恢复; 3)采用镜质体反射率来评估有机质热成熟度的变化趋势, 未考虑其他热成熟度参数(如矿物学指标和生物标志物[54])与时间、温度的关系; 4)近似设定沉积岩层 TOC 的最大转换率为85%, 未考虑围岩与岩床接触处有机碳完全散失的情况, 也未考虑沉积岩层中惰性干酪根导致围岩中可转化为碳氢化合物的有机质数量减少的情况[55]。因此, 如何克服 SILLi 1.0 1D 模型的局限性, 对 1.32Ga 岩床侵位热效应及环境效应进行更精确的约束, 是未来研究工作中值得关注的问题。

width=419.25,height=204

图11 岩床侵位释气环境效应模式图(据参考文献[53]修改)

Fig. 11 Model diagram of gas release environmental effects during sill emplacement (modified from Ref. [53])

6 结论

本文基于北京黄土贵下马岭组地层剖面, 研究1.32Ga 基性岩床的侵位特征及环境效应, 得到如下主要结论。

1)1.32Ga 基性岩床以“岩浆指”的形态侵位于围岩中, 使围岩发生显著的弹性变形及脆性变形, 对围岩产生显著的热效应。

2)1.32Ga 基性岩床的侵位使围岩镜质体反射率显著提升, 可由未成熟阶段演化至过成熟阶段。

3)1.32Ga 基性岩床侵位于华北克拉通和北澳大利亚克拉通地层, 热释气量最大可达 3.61×1012t当量 CO2, 是该期岩浆活动释气量的 5.08 倍, 对地壳沉积物中碳的活化贡献显著, 在造成全球增温和海水酸化的同时, 有利于海水营养化, 具有明显的环境效应。

参考文献

[1] Ernst R E. Large igneous provinces. Cambridge: Cam-bridge University Press, 2014

[2] Wignall P B. Large igneous provinces and mass ex-tinctions. Earth-Science Reviews, 2001, 53: 1–33

[3] Wignall P B. The link between large igneous province eruptions and mass extinctions. Elements, 2005, 1(5): 293–297

[4] Kerr A C. Oceanic LIPs: the kiss of death. Elements, 2005, 1(5): 289–292

[5] Kerr A C. Oceanic plateaus // Holland H D, Turekian K K. Treatise on geochemistry. Vol. 4: the crust, 2nd edition. Amsterdam: Elsevier, 2014: 631–667

[6] Ernst R E, Youbi N. How large igneous provinces affect global climate, sometimes cause mass extinc-tions, and represent natural markers in the geological record. Palaeogeography, Palaeoclimatology, Palaeoe-cology, 2017, 478: 30–52

[7] Svensen H, Planke S, Malthe-Sorenssen A, et al. Release of methane from a volcanic basin as a me-chanism for initial Eocene global warming. Nature, 2004, 429: 542–545

[8] Svensen H, Fristad K E, Polozov A G, et al. Volatile generation and release from continental large igneous provinces. Cambridge: Cambridge University Press, 2015: 177–192

[9] Svensen H, Frolov S, Akhmanov G G, et al. Sills and gas generation in the Siberian Traps. Philosophical Transactions of the Royal Society A, 2018: 376–386

[10] Ganino C, Arndt N T. Climate changes caused by degassing of sediments during the emplacement of large igneous provinces. Geology, 2009, 37: 323–326

[11] Heimdal T H, Svensen H H, Ramezani J, et al. Large-scale sill emplacement in Brazil as a trigger for the end-Triassic crisis. Scientific Reports, 2018, 8: 141

[12] Heimdal T H, Callegaro S, Svensen H H, et al. Evidence for magma-evaporite interactions during the emplacement of the Central Atlantic Magmatic Pro-vince (CAMP) in Brazil. Earth and Planetary Science Letters, 2019, 506: 476–492

[13] Aarnes I, Svensen H, Connolly A D, et al. How contact metamorphism can trigger global climate changes: modeling gas generation around igneous sills in sed-imentary basins. Geochimica et Cosmochimica Acta, 2010, 74: 7179–7195

[14] Aarnes I, Svensen H, Polteau S, et al. Contact meta-morphic devolatilization of shales in the Karoo Basin, South Africa, and the effects of multiple sill intrusions. Chemical Geology, 2011, 281: 181–194

[15] Aarnes I, Planke S, Trulsvik M, et al. Contact meta-morphism and thermogenic gas generation in the Vø-ring and Møre basins, offshore Norway, during the Paleocene-Eocene thermal maximum. Journal of the Geological Society, 2015, 172: 588–598

[16] Svensen H, Polteau S, Cawthorn G, et al. Sub-volcanic intrusions in the Karoo Basin, South Africa. Advances in Volcanology, 2014: 349–362

[17] Zhang S H, Zhao Y, Li X H, et al. The 1.33–1.30 Ga Yanliao large igneous province in the North China Craton: implications for reconstruction of the Nuna (Columbia) supercontinent, and specifically with the North Australian Craton. Earth & Planetary Science Letters, 2017, 465: 112–125

[18] Cawood P A. Earth matters: a tempo to our planets evolution. Geology, 2020, 48: 525–526

[19] Hu G H, Wang M X, Zhang S H, et al. A ca. 1.33 Ga mafic dyke identified from the Liaodong Peninsula, northeastern North China Craton: implications for eastward extension of the Yanliao large igneous pro-vince. Precambrian Research, 2022, 378: 1–14

[20] 中国地质调查局. 中华人民共和国北京市地质图(1:25万). 北京: 地质出版社, 2004

[21] 乔秀夫, 王彦斌. 华北克拉通中元古界底界年龄与盆地性质讨论. 地质学报, 2014, 88: 1623–1637

[22] Wang H Y, Zhang Z H, Li C, et al. Spatiotemporal redox heterogeneity and transient marine shelf oxy-genation in the Mesoproterozoic ocean. Geochimica et Cosmochimica Acta, 2020, 270: 201–217

[23] Magee C, Muirhead J D, Karvelas A, et al. Lateral magma flow in mafic sill complexes. Geosphere, 2016, 12: 809–841

[24] Magee C, Muirhead J D, Schofield N, et al. Structural signatures of igneous sheet intrusion propagation. Journal of Structural Geology, 2018, 125: 148–154

[25] Pollard D D, Johnson A M. Mechanics of growth of some laccolithic intrusions in the Henry Mountains, Utah, Ⅱ. Bending and failure of overburden layers and sill formation. Tectonophysics, 1973, 18: 311–354

[26] Bunger A P, Cruden A R. Modeling the growth of laccoliths and large mafic sills: role of magma body forces. Journal of Geophysical Research, 2011, 116: B02203

[27] Galland O, Scheibert J. Analytical model of surface uplift above axisymmetric flat-lying magma intru-sions: implications for sill emplacement and geodesy. Journal of Volcanology and Geothermal Research, 2013, 253: 114–130

[28] Pollard D D, Muller O H, Dockstader D R. The form and growth of fingered sheet intrusions. Geological Society of America Bulletin, 1975, 86: 351–363

[29] Schofield N, Brown D J, Magee C, et al. Sill mor-phology and comparison of brittle and non-brittle emplacement mechanisms. Journal of the Geological Society, 2012, 169: 127–141

[30] Spacapan J B, Galland O, Leanza H A, et al. Igneous sill and finger emplacement mechanism in shale-dominated formations: a field study at Cuesta del Chihuido, Neuquén Basin, Argentina. Journal of the Geological Society, 2017, 174: 422–433

[31] Schmiedel T, Kjoberg S, Planke S, et al. Mechanisms of overburden deformation associated with the em-placement of the Tulipan sill, mid-Norwegian margin. Interpretation, 2017, 5: 23–38

[32] Rodriguez M F, Villar H J, Baudino R, et al. Modeling an atypical petroleum system: a case study of hydro-carbon generation, migration and accumulation related to igneous intrusions in the Neuquén Basin, Argentina. Marine and Petroleum Geology, 2009, 26: 590–605

[33] Magee C, Jackson C A L, Schofield N, et al. Dia-chronous sub-volcanic intrusion along deep-water margins: insights from the Irish Rockall Basin. Basin Research, 2014, 26: 85–105

[34] Spacapan J B, Palma O, Galland O, et al. Thermal impact of igneous sill complexes on organic-rich for-mations and the generation of a petroleum system: case study in the Neuquén Basin, Argentina. Marine and Petroleum Geology, 91: 519–531

[35] Galland O, Spacapan J B, Rabbel O, et al. Structure, emplacement mechanism and magma-flow significan-ce of igneous fingers — implications for sill emplace-ment in sedimentary basins. Journal of Structural Geology, 2019, 124: 120–135

[36] Pistone M, Cordonnier B, Caricchi L, et al. The viscous to brittle transition in crystal- and bubble-bearing magmas. Frontiers in Earth Science, 2015, 3: 71

[37] Svensen H, Planke S, Chevallier L, et al. Hydrothermal venting of greenhouse gases triggering Early Jurassic global warming. Earth and Planetary Science Letters, 2007, 256: 554–566

[38] Svensen H, Torsvik T H, Callegaro S, et al. Gondwana Large Igneous Provinces: plate reconstructions, vol-canic basins and sill volumes. Geological Society, London, Special Publications, 2017, 463: 17–40

[39] Iyer K, Svensen H, Schimid D. SILLi 1.0: A 1D numerical tool quantifying the thermal effects of sill intrusions. Geoscientific Model Development, 2018, 11: 43–60

[40] Iyer K, Rüpke L, Galerne C Y. Modeling fluid flow in sedimentary basins with sill intrusions: implications for hydrothermal venting and climate change. Geoche-mistry Geophysics Geosystems, 2013, 14: 5244–5262

[41] Galushkin Y I. Thermal effects of igneous intrusions on maturity of organic matter: a possible mechanism of intrusion. Organic Geochemistry, 1997, 26: 645–658

[42] Wang D Y. Comparable study on the effect of errors and uncertainties of heat transfer models on quanti-tative evaluation of thermal alteration in contact me-tamorphic aureoles: thermophysical parameters, intru-sion mechanism, pore-water volatilization and mathe-matical equations. International Journal of Coal Geo-logy, 2012, 95: 12–19

[43] Sweeney J J, Burnham A K. Evaluation of a simple model of vitrinite reflectance based on chemical ki-netics. AAPG Bulletin, 1990, 74: 1559–1570

[44] Connolly J, Petrini K. An automated strategy for cal-culation of phase diagram sections and retrieval of rock properties as a function of physical conditions. Journal of Metamorphic Geology, 2002, 20: 697–708

[45] Othman R, Arouri K R, Ward C R, et al. Oil generation by igneous intrusions in the northern Gunnedah Basin, Australia. Organic Geochemistry, 2001, 32: 1219–1232

[46] Othman R, Ward C R. Thermal maturation pattern in the southern Bowen, northern Gunnedah and Surat Basins, northern New South Wales, Australia. Interna-tional Journal of Coal Geology, 2002, 51: 145–167

[47] 孙枢, 王铁冠. 中国东部中–新元古界地质学与油气资源. 北京: 科学出版社, 2015

[48] McCartney K, Huffman A R, Tredoux M. A paradigm for endogenous causation of mass extinctions. Special Paper of the Geological Society of America, 2009, 247: 125–138

[49] McHone J G. Volatile emissions from Central Atlantic Magmatic Province basalts: mass assumptions and en-vironmental consequences // Hames J G M, Renne P, Ruppel C. The central Atlantic magmatic province: insights from fragments of Pangea. Geophysical Mono-graphy Series, Washington DC: AGU, 2002: 241–254

[50] Self S, Thordarson T, Widdowson M. Gas fluxes from flood basalt eruptions. Elements, 2005, 1(5): 283–287

[51] 税国豪, 张拴宏, 胡国辉, 等. 燕辽地区下马岭组内基性岩床侵位过程中CO2释放量估算及对表生环境影响的探讨. 地质论评, 2020, 66(4): 909–918

[52] Hoffman P F, Schrag D P. Snowball earth. Scientific American, 2000, 282(1): 68–75

[53] 赵文智, 王晓梅, 胡素云, 等. 中国元古宇烃源岩成烃特征及勘探前景. 中国科学: 地球科学, 2019, 49(6): 939–964

[54] Muirhead D K, Bowden S A, Parnell J, et al. Source rock maturation owing to igneous intrusion in rifted margin petroleum systems. Journal of the Geological Society, 2017, 174: 979–987

[55] Iyer K, Schmid D W, Planke S, et al. Modelling hydrothermal venting in volcanic sedimentary basins: impact on hydrocarbon maturation and paleoclimate. Earth and Planetary Science Letters, 2017, 467: 30–42

Environmental Effects on the Emplacement of 1.32 Ga Mafic Sills

ZHANG Chaokun1, TIAN Wei1,†, HE Yanxin1, ZHU Weipeng1, LI Shun2

1. School of Earth and Space Sciences, Peking University, Beijing 100871; 2. School of Information Science and Technology, Fudan University, Shanghai 200433; Corresponding author, E-mail: davidtian@pku.edu.cn

Abstract In order to explore the relationship between deep earth dynamics and global carbon cycling processes, environmental changes, and planetary evolution during the Mesoproterozoic era, the Huangtugui Section in Beijing was selected as a stratigraphic section for studying the characteristics and environmental effects on the emplacement of 1.32 Ga mafic sills in Yanliao area. Through petrological and numerical simulation analysis, it was found that the 1.32 Ga mafic sills intruded into the surrounding rocks with the form of “magma finger”, resulting in significant thermal effects on the surrounding rocks. The emplacement of the sills significantly increased the vitrinite reflectance of organic matter in the surrounding rocks, evolving from an immature stage to an overmature stage. The thermal degassing of the sills in North China Craton and North Australia Craton released an equivalent of 3.61×1012 tons of CO2, promoting the activation of carbon in the lithosphere and having obvious environmental effects.

Key words Yanliao area; mafic sills; environmental effects; Mesoproterozoic; numerical simulation