北京大学学报(自然科学版) 第60卷 第6期 2024年11月

Acta Scientiarum Naturalium Universitatis Pekinensis, Vol. 60, No. 6 (Nov. 2024)

doi: 10.13209/j.0479-8023.2024.070

国家自然科学基金重点项目(42230403)资助

收稿日期: 2023–11–21;

修回日期: 2024–01–17

大西洋经向翻转流多百年际变率的二维海洋模式研究

王鉥祥 杨海军

复旦大学大气与海洋科学系, 复旦大学极地海冰气系统与天气气候教育部重点实验室, 上海 200438; 通信作者, E-mail: yanghj@fudan.edu.cn

摘要 利用简单海洋环流模式, 对大西洋经向翻转流(AMOC)的多百年际振荡进行模拟研究。首先推导纬向平均的二维海洋环流模式, 得到 AMOC 的控制方程及关键参数。然后利用数值方法, 使用混合边界条件, 在合适的边界条件和强迫场条件下模拟合理的 AMOC 气候态。通过向北半球副极地表层添加盐度通量随机强迫, 进行长时间积分, 激发 AMOC 的多百年际变率。功率谱分析结果表明, AMOC 可以展现约 260 年的周期性振荡, 对 AMOC 进行 EOF 分解得到的主模态主要信号位于较深的海盆, 表明多百年际变率可能与较深层海洋的变动联系紧密。最后探究振荡周期与海盆体积及 AMOC 强度的关系, 海盆体积越大, 振荡周期越长; AMOC 越强, 振荡周期越短。

关键词 大西洋经向翻转流(AMOC); 简化海洋模式; 多百年际变率

地球气候系统存在各种时间尺度的气候变率。大量树轮、冰芯、湖底或海底沉积物代用资料均表明, 气候系统存在百年至千年时间尺度的气候变率, 时间尺度为 200~800 年[1–4]的气候变率被定义为多百年际变率(multicentennial variability)。地球系统各组分中, 海洋因其巨大的热惯性, 可以为气候系统提供长时间尺度的气候变率[5–8]。作为海洋环流的重要部分, 大西洋经向翻转流(Atlantic meridional overturning circulation, AMOC)的平流时间尺度可以达到数千年, 有可能是多百年际气候变率的潜在控制因素。因此, AMOC 的多百年际变率是目前长期气候变率研究领域的一个重要方向[9–10]。AMOC 多百年际内部变率可能影响了过去人类文明的发展及朝代的变迁, 对 AMOC 多百年变率的深入研究将对古文明研究产生深远的影响, 也有助于我们理解未来长期气候变化。

已有研究发现, 从简单箱型模型到耦合气候系统模式中都存在 AMOC 的多百年际变率。Li 等[11]在半球盒模型中发现约 340 年周期的 AMOC 自维持振荡。在 CESM1.0 的控制试验中, 海冰面积指数和AMOC 指数均展现 300~400 年的多百年变率, 但两者的因果关系尚需要进一步的研究[12]。在用 EC-Earth3 对过去 8000 年气候演变进行的模拟试验中, AMOC 约 200 年周期的变率非常显著[13]。在中等复杂的耦合模式 PlaSim-LSG EMIC 中也存在着约 270年的周期振荡[14]。Mikolajewicz 等[15]和 Mysak 等[16]使用全球海洋模式叠加空间相关的白噪声的模拟结果中也出现约 300 年的周期振荡, 尽管海洋模式中这个振荡表现出强衰减特征, 但仍然能通过随机强迫激发持续性振荡。上述研究说明 AMOC 的多百年际变率是可以模拟出来的, 并且很可能是海洋热盐环流的一个本征模态, 但对其振荡机理尚未达成共识[17]

本文利用一个纬向平均的二维海洋模式, 对AMOC 的多百年变率进行深入的研究。与简单箱型模型相比, 二维模式能够给出热盐环流的空间结构。与复杂的耦合模式相比, 二维模式相对简化的物理过程有助于设计更多的敏感性试验, 更快地得到结果, 从而更容易厘清 AMOC 多百年际变率机理[18–22]。本文首先推导纬向平均二维海洋模式, 然后在合适的边界条件和模式参数条件下得到一个合理的 AMOC 气候平均态。通过随机强迫试验, 激发AMOC 的多百年变率, 并对其振荡周期进行分析, 通过经验正交函数分解确定其主要模态, 讨论多百年际变率周期的主控因素。

1 纬向平均二维海洋模式

本研究基于 Marotzke 等[23]和 Yang 等[24]构建的纬向平均海洋模式, 在考虑经向动量平流的情况下, 平衡态下的动量方程为

width=172.5,height=32.25 (1)

其中, Ψ 为流函数, 单位为 Sv (1 Sv = 106 m3/s); AVAH 分别为海水垂直和水平动量黏性系数(m2/s); TS 分别为温度(℃)和盐度(psu); αβ 分别为热膨胀系数(kg/(m3·℃))和盐收缩系数(kg/(m3·psu))。动量方程是一个诊断方程, 取决于温度和盐度的经向梯度。考虑了水平扩散和垂直扩散过程的纬向平均温度和盐度方程分别为

width=171.75,height=32.25 (2)

width=168.75,height=32.25 (3)

式(2)和(3)是预报方程, 其中 KVKH 分别是垂直和水平的温度–盐度扩散系数(m2/s), vw 分别为经向速度和垂向速度。假设半球海盆长度为 L, 深度为D, 宽度为 W, 纬向平均二维海洋模式的结构如图1 所示。

方程(1)~(3)的边界条件取为

width=147,height=72.75 (4)

纬向平均海洋模式的温度–盐度表面边界条件如图2 所示。

预运行(spin-up)试验使用对称的恢复型温度–盐度表面边界条件:

width=210,height=141.75

图1 纬向平均的二维海洋模式示意图

Fig. 1 Schematic diagram of zonal mean 2-dimensional ocean model

width=323.25,height=184.5

图2 海洋表面温度与盐度的边界条件示意图

Fig. 2 Schematic diagram of upper boundary conditions

width=210.75,height=60 (5)

其中, T0S0 分别是给定的海面参考温度和参考盐度, TLSL 分别是极地的参考温度和参考盐度, S*=1 psu, T*=12.5℃, 表层厚度 ΔZ=40m, 设定恢复时间 τ 约为 70 天。除预运行试验以外, 后续所有敏感性试验使用混合边界条件:

width=124.5,height=27.75 (6)

QS(y)为诊断得到的能够维持预运行试验平衡态的盐度通量。模式的数值方法采用中央差分形式和向前欧拉方法。使用预运行试验的平衡态作为初始场对模式进行积分, 得到一个稳定的气候平衡态。

2 气候平衡态

首先使用表 1 中参数, 得到 AMOC 的气候态。方便起见, 本文定义大西洋 20°—70°N, 300~2000m区域内流函数的最大值为 AMOC 指数[25]

2.1 相对于赤道对称的双环流结构

设置海洋的初始温度场 T0=7℃, 初始盐度场S0=35psu, 进行 5000 年预运行试验, 使用式(4)和(5)给定的相对于赤道对称的恢复型边界条件(图2(a))。

表1 试验参数设置

Table 1 Experiment parameter setting

参数项参数值参数说明 水平层数32水平格点等距 垂直层数17垂直格点不等距 时间步长25天 L7770000m半球海盆长度 D4000m海盆深度 W6000000m海盆宽度 α0.1kg/(m3·℃)热膨胀系数 β0.79kg/(m3·psu)盐收缩系数 AV20m2/s垂直黏性系数 AH1.25×109m2/s水平黏性系数AH=(L/D)2AV[24] KV2×10−4m2/s垂直扩散系数 KH2×103m2/s水平扩散系数

在对称的温度和盐度恢复边界条件下, 最终得到相对于赤道对称的双环流(2-cell)结构(图 3(a)), 与前人的研究结果[20,23]一致。从图 3(b)可见, 在模式积分的前 500 年, 海洋环流变化强烈, 之后缓慢接近平衡态。平衡态的 AMOC 强度约为 5Sv, 远小于真实情况[8,26]。平衡态的温度和盐度分布如图3(c)和(d)所示, 其显著特征是相对于赤道对称的结构。赤道地区高盐高温, 两极地区低温低盐, 从而形成稳定的 2-cell 赤道–极区的环流结构(图 3(a))。上层海水从赤道向两极运动, 达到高纬度地区后下沉并向南运动, 在赤道上升, 完成闭合环流。在表1 给定的温度–盐度垂直扩散系数条件下, 热带地区的温跃层和盐跃层均在 1000m 以上。在预运行试验中, 环流的强度远比实际海洋中 AMOC 弱, 强度中心位于 40°N, 深度约在 1500m 附近。根据预运行试验的平衡态表面盐度和恢复参考盐度的差值width=51,height=27.75, 在保证表面盐通量守恒的情况下, 对南、北极区域进行调整, 即可诊断出维持该平衡态的海表面盐度通量 QS (图 3(d))。

2.2 单环流结构-AMOC

使用预运行试验的平衡态温度场和盐度场作为初始场, 采用式(6)给定的混合边界条件(海面温度为恢复边界条件, 海面盐度为通量边界条件(图 2 (b))进行积分。为得到更接近真实情况的稳定 AMOC平衡态, 在模式积分的第一步向北半球高纬度表面(约 65°N)添加 0.5psu 的初始盐度异常。同时, 为了保持盐度守恒, 在南半球高纬度表面(约 65°S)添加−0.5psu 的初始盐度异常。

改变边界条件并添加初始扰动后, 北半球高纬度地区的温度和盐度向下层海洋扩张(图 4(a)和(b)), 温度和盐度的经向梯度发生变化, 使得北半球部分环流逐渐增强, 南半球部分环流逐渐减弱。由于变换边界条件和初始扰动, 在变换边界条件后的初期, 流函数的形态和流量都会发生剧烈的变化(图 4(d)), 关于赤道对称的双环流结构发生转变, 流函数的强度中心也逐渐调整(图 4(c)), 模式运行 500 年后不再剧烈地变化, 逐渐达到平衡态(图 4(d))。

width=431.25,height=175.5

图3 预运行试验得到的海洋平衡态

Fig. 3 Equilibrium in spin-up experiment

width=436.5,height=175.5

图4 混合边界条件下的海洋平衡态

Fig. 4 Equilibrium in mixed boundary condition experiment

北半球高纬度的低温高盐水可以下沉形成深层水, 并逐渐向南输送, 然后在南半球上升至海洋表面, 向北输送回北半球极区, 完成循环, 形成一个南北两半球非对称单环流结构, 这种单环流结构即为 AMOC。试验的 AMOC 强度中心在 40°N 约 1500m 深的位置附近, 其最大流量约为 22Sv, 与真实的AMOC 强度和位置[8,11,27]相近。温度和盐度的垂直结构也与大西洋真实的温度–盐度结构[28]相似。

3 AMOC 多百年际振荡

将混合边界条件试验气候平衡态的温度–盐度场作为初始场(图 4), 继续运行 7000 年, 在 2000 年时向北半球高纬度地区添加白噪声形式的盐度随机强迫, 再运行 5000 年。为了增加模式运行结果的可靠性, 我们进行每次 5000 年的 50 次随机强迫试验, 选取 50 次试验平均后的最后 4500 年进行分析。

随机强迫的白噪声生成方式如下:

width=76.5,height=15 (7)

其中, Noise(t)为添加的白噪声随机强迫; σ=0.333, 为生成白噪声的标准差; G(t)是均值为 0, 标准差为1 的标准正态分布随机序列,其概率密度函数满足

width=80.25,height=32.25 (8)

为了更好地辨别多百年变率, 我们使用 Lanczos滤波器[29], 滤掉 60 年以下的高频信号, 下面如无特别说明, 均采用同样的滤波器方法。

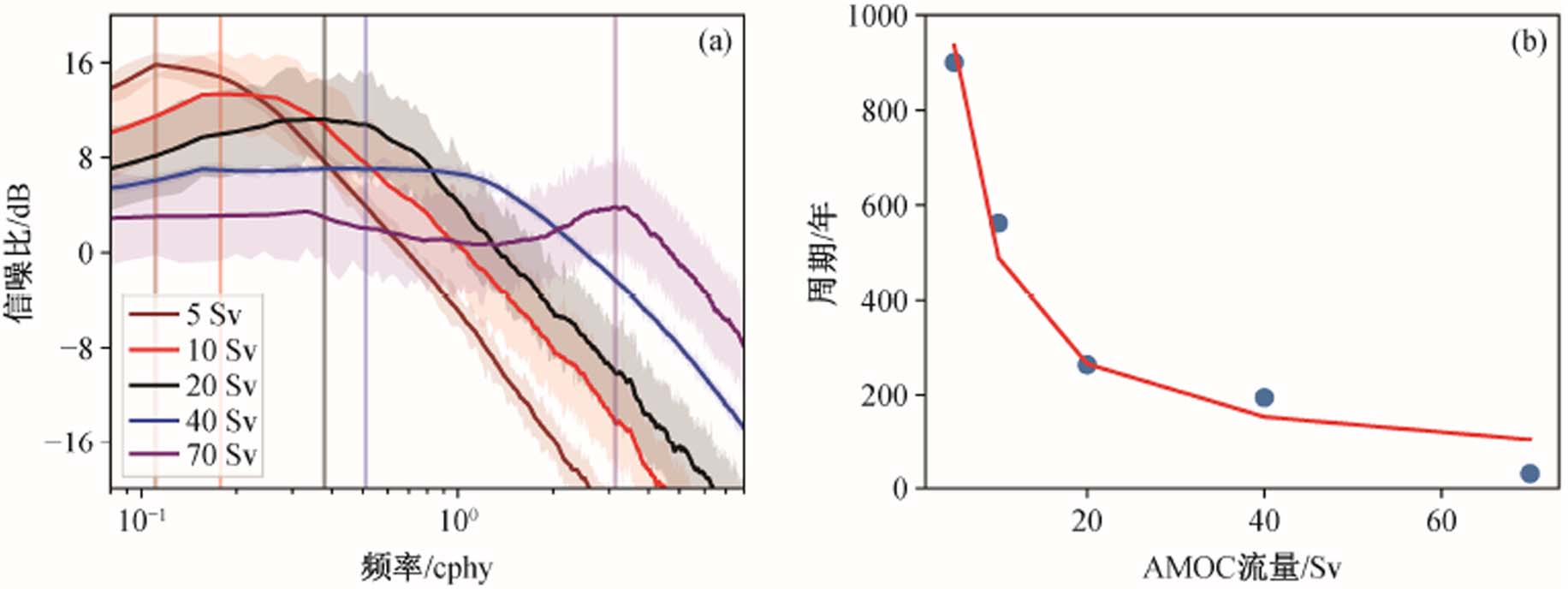
图 5(a)是随机生成的 50 次高斯白噪声的平均功率谱, 功率谱在各个频率的能量连续且均匀, 随机强迫的均值为 0。针对 50 次随机强迫试验得到的AMOC 指数, 选取其中后 4500 年(图 5(b)展示后2500 年)进行分析, 结果表明存在显著的多百年际变率(图 5(b)中黑线); 用 Lanczos 滤波器滤掉高频信号后, 多百年变率更明显(图 5(b)中红线)。对滤波后的 AMOC 指数进行功率谱分析, 结果表明 AMOC指数存在一个明显的约 260 年的振荡周期(图 5(c))。将滤波后数据中的功率谱与白噪声功率谱相除, 得到信噪比, 可以看出信噪比的峰值与功率谱的峰值对应的频率基本上一致(图 5(d))。随机强迫试验结果表明, AMOC 的多百年际变率可以被随机强迫激发出来, 我们可以将其振荡周期视为模式系统的一个本征周期。

对 AMOC 的时空场进行经验正交函数(EOF)分解, 得到 AMOC 主模态(EOF1)的空间型态及其对应的时间序列(图 6)。EOF1 可以解释总方差的 92.1% (图 6(a)), EOF1 模态和气候平衡态的 AMOC 空间模态比较相近, 但结构略有差异。在环流的上半部分, EOF1 模态表明由南向北的平流过程主要发生在1000m 以下。在环流的中下半部分, EOF1 显示的环流强度中心偏深。EOF1 时间系数与图 5(b)的 AMOC指数时间序列相似(图 6(b)), 其功率谱同样展现了约 260 年的多百年振荡周期。通过北大西洋表面的局部随机强迫扰动, 可能影响了北大西洋深层水的形成与输运, 使得中深层 AMOC 发生了剧烈的变化。从图 6(a)可以观察到, 南半球 1000m 以上 EOF1很小。表示深层水的异常向南输送, 在南半球并未上升至海洋表面, 而在约 1000m 向北输送回北半球极区完成环流。EOF1 模态表明 AMOC 的多百年变率可能主要与中深层海洋的变率有密切联系。

4 决定 AMOC 振荡周期的关键因素

影响 AMOC 振荡周期的决定性因素为大洋海水的周转时间, 这与海盆体积及环流强度密不可分。最小振荡周期width=56.25,height=33, 即振荡周期 T 与副热带上层海洋体积 V1 以及副极地海洋体积 V2 正相关, 与平衡态流量width=10.5,height=15成反比[11]。我们通过一系列的敏感性试验, 研究 AMOC 振荡周期如何受海盆体积和气候态 AMOC 强度的影响。为了更好地研究不同情境下 AMOC 的振荡周期, 用 Lanczos 滤波器滤掉 10 年以内的高频信号。

4.1 海盆体积的影响

在纬向平均二维海洋模式中, 动量方程并不包括海盆宽度, 因此我们通过调整海盆深度来调整海盆体积, 在此基础上研究海盆体积对于振荡周期的影响。分别设置海盆深度为 2000, 3000, 4000, 7000和 10000m 进行 5 组试验, 每组包括 50 次积分时间为 5000 年的随机强迫试验。在这些试验中, AMOC的强度保持 20Sv 不变。

基于 AMOC 主模态 EOF1 的时间序列, 分析海盆体积对 AMOC 振荡周期的影响。图 7(a)显示, 随着海盆深度加大(即海盆体积加大), AMOC 多百年际变率的周期加长。图 7(b)显示这种周期的变化与海盆体积的变化线性正相关, 与最新的理论研究结果[11]完全一致, 即海盆越深(体积越大), AMOC 多百年际振荡周期越长。图 7(b)中线性拟合线的斜率约为 0.08, 即海洋每加深 100m, AMOC 振荡周期加长约 8 年。

width=419.25,height=334.5

(a)白噪声功率谱, 频率单位为每百年周期数(cycle per hundred year, 简写为 cphy); (b)50 次试验平均的 AMOC 指数距平时间系数, 黑线为 AMOC 指数年平均值的距平时间序列, 红线是经过 Lanczos 滤波器滤去 60 年以内高频信号后的 AMOC 指数距平时间序列(展示后 2500 年); (c)滤波后 AMOC 指数的功率谱, 红色竖线指示最显著周期约为 260 年; (d)信噪比, 即 AMOC 功率谱与噪声功率谱的比值。(c)和(d)中的阴影区表示 50 次试验的标准差范围

图5 随机强迫试验结果

Fig. 5 Average of 50 stochastic forcing experiments results

4.2 AMOC强度的影响

为了进一步研究 AMOC 强度对其振荡周期的影响, 同样进行 5 组试验, AMOC 平衡态强度分别为 5, 10, 20, 40 和 70Sv, 每组试验都进行 50 次积分时间为 5000 年的随机强迫试验。在这些试验中, 海盆深度保持 4000m 不变, 气候平均态 AMOC 的中心位置都处于同一深度。图 8(a)显示, 随着 AMOC强度增加, 其多百年际变率的周期缩短。图 8(b)显示这种周期的变化与 AMOC 强度为反相关系, 也与最新的理论研究结果[11]一致, 即 AMOC 越强, 深水海盆海水的周转时间越短, 即 AMOC 多百年际振荡周期越短。

5 结论与讨论

本文建立一个简单的纬向平均二维海洋模型, 进行预运行试验和混合边界条件的平衡态试验, 并通过盐度通量随机强迫, 研究 AMOC 的多百年变率, 得到如下结论。

1)在温度和盐度都取强迫恢复边界条件的情况下, 纬向平均海洋环流表现为关于赤道对称的双环流结构; 在混合边界条件下, 可形成南北两半球非对称单圈环流, 即 AMOC。

2)简化海洋模式试验表明, 多百年际振荡可能是由海洋本征模态控制的, 这种本征模态可以被盐度随机强迫激发出来。

3)海盆体积和环流强度可以显著地影响 AMOC的振荡周期。海盆体积和振荡周期线性正相关, 体积越大, AMOC 振荡周期更长。AMOC 强度与振荡周期为反相关系, 流量越弱, 振荡周期越长。这一结论与最新的理论研究结果完全一致。

width=414,height=328.5

(a)AMOC 平均态(虚线)及其 EOF1 模态(填色); (b)EOF1 第一主成分(PC1)的时间序列(展示后 2500 年), 黑线为未滤波的时间序列, 红线为 Lanczos 滤波后的时间序列; (c)滤波后时间序列的信噪比, 红色竖线标示最显著周期约为 264 年

图6 AMOC时空场的EOF分析结果

Fig. 6 EOF analysis results of AMOC

width=417,height=153

图7 改变海盆深度的敏感性试验结果

Fig. 7 Sensitivity test results for changing the depth of the sea basin

4)AMOC 主模态的强度中心比原始 AMOC 的强度中心深度更大, 暗示 AMOC 多百年变率可能来源于中深层海洋。表面随机强迫可能通过复杂的海洋动力学过程, 影响北大西洋深层水的形成和输运, 导致 AMOC 在多百年尺度上发生变化。

width=399.75,height=150

图8 改变AMOC强度的敏感性试验结果

Fig. 8 Sensitivity test results for changing AMOC intensity

与此前研究不同的是, 本研究采用简化的二维海洋模式来探究多百年际变率。多百年变化的研究目前主要集中在盒模型和耦合模式上, 我们使用的二维模式在探索这一问题时有独特的优势, 能有效地补充现有研究体系。二维模式为我们理解 AMOC的多百年际变率提供了新的方法, 也为未来的深入研究和理解提供了可行的方向。

由于本文所用模式简单, 不能完全代表真实世界发生的 AMOC 多百年际变率, 因此需要更合理更复杂的模式, 对 AMOC 多百年际变率进行深入的研究, 才能更加清楚地揭示 AMOC 的变化过程和振荡机理。

参考文献

[1] Sirén G. Skogsgränstallen som indikator för klimatflu-ktuationerna i norra Fennoskandien under historisk tid. Communicationes Instituti Forestalis Fenniae, 1961, 54(2): 1–66

[2] Newby P E, Shuman B N, Donnelly J P, et al. Cen-tennial-to-millennial hydrologic trends and variability along the North Atlantic coast, USA, during the Holo-cene. Geophysical Research Letters, 2014, 41(12): 4300–4307

[3] Sicre M A, Jacob J, Ezat U, et al. Decadal variability of sea surface temperatures off North Iceland over the last 2000 years. Earth and Planetary Science Letters, 2008, 268(1/2): 137–142

[4] Askjaer T G, Zhang Q, Schenk F, et al. Multi-cen-tennial Holocene climate variability in proxy records and transient model simulations. Quaternary Science Reviews, 2022, 296: 107801

[5] Kosaka Y, Xie S P. The tropical Pacific as a key pace-maker of the variable rates of global warming. Na- ture Geoscience, 2016, 9(9): 669–673

[6] Rahmstorf S. Ocean circulation and climate during the past 120,000 years. Nature, 2002, 419: 207–214

[7] 周天军. 全球海气耦合模式中热盐环流对大气强迫的响应. 气象学报, 2003, 61(2): 164–179

[8] Ganachaud A, Wunsch C. Improved estimates of global ocean circulation, heat transport and mixing from hy-drographic data. Nature, 2000, 408: 453–457

[9] Stocker T F, Mysak L A. Climatic fluctuations on the century time scale: a review of high-resolution proxy data and possible mechanisms. Climatic Change, 1992, 20(3): 227–250

[10] Danabasoglu G, Yeager S G, Bailey D, et al. North Atlantic simulations in coordinated ocean-ice referen-ce experiments phase II (CORE-II). Part I: mean states. Ocean Modelling, 2014, 73: 76–107

[11] Li Y, Yang H. A theory for Self-sustained multicen-tennial oscillation of the Atlantic meridional overtur-ning circulation. Journal of Climate, 2022, 35(18): 5883–5896

[12] Yang H, Shen X, Yao J, et al. Portraying the impact of the Tibetan Plateau on global climate. Journal of Climate, 2020, 33(9): 3565–3583

[13] Meccia V L, Fuentes-Franco R, Davini P, et al. Internal multi-centennial variability of the Atlantic meridional overturning circulation simulated by EC-Earth3. Cli-mate Dynamics, 2022, 60: 3695–3712

[14] Mehling O, Bellomo K, Angeloni M, et al. High-latitude precipitation as a driver of multicentennial variability of the AMOC in a climate model of inter-mediate complexity. Climate Dynamics, 2022, 61: 1519–1534

[15] Mikolajewicz U, Maier-Reimer E. Internal secular variability in an ocean general circulation model. Cli-mate Dynamics, 1990, 4: 145–156

[16] Mysak L A, Stocker T F, Huang F. Century-scale variability in a randomly forced, two-dimensional ther-mohaline ocean circulation model. Climate Dynamics, 1993, 8: 103–116

[17] Roebber P J. Climate variability in a low-order coupled atmosphere-ocean model. Tellus A, 1995, 47(4): 473–494

[18] Quon C, Ghil M. Multiple equilibria in thermosolutal convection due to salt-flux boundary conditions. Jou-rnal of Fluid Mechanics, 1992, 245: 449–483

[19] Stocker T F, Mysak L A, Wright D G. A zonally averaged, coupled ocean-atmosphere model for paleoc-limate studies. Journal of Climate, 1992, 5(8): 773–797

[20] Wright D G, Stocker T F. A zonally averaged ocean model for the thermohaline circulation. Part I: model development and flow dynamics. Journal of Physical Oceanography, 1991, 21(12): 1713–1724

[21] Stocker T F, Wright D G. A zonally averaged ocean model for the thermohaline circulation. Part II: inte-rocean circulation in the Pacific-Atlantic basin sys-tem. Journal of physical oceanography, 1991, 21 (12): 1725–1739

[22] Wright D G, Vreugdenhil C B, Hughes T M C. Vorticity dynamics and zonally averaged ocean circulation mo-dels. Journal of Physical Oceanography, 1995, 25 (9): 2141–2154

[23] Marotzke J, Welander P, Willebrand J. Instability and multiple steady states in a meridional-plane model of the thermohaline circulation. Tellus A: Dynamic Me-teorology and Oceanography, 1988, 40(2): 162–172

[24] Yang J, Neelin J D. Sea-ice interaction with the ther-mohaline circulation. Geophysical Research Letters, 1993, 20(3): 217–220

[25] Yang H, Wang K, Dai H, et al. Wind effect on the Atlantic meridional overturning circulation via sea ice and vertical diffusion. Climate Dynamics, 2015, 46: 3387–3403

[26] Mccarthy G D, Smeed D A, Johns W E, et al. Mea-suring the Atlantic Meridional Overturning Circulation at 26°N. Progress in Oceanography, 2015, 130: 91–111

[27] Thomas M D, Fedorov A V. Mechanisms and impacts of a partial AMOC recovery under enhanced fresh-water forcing. Geophysical Research Letters, 2019, 46(6): 3308–3316

[28] Antonov J I, Levitus S, Boyer T P. Steric sea level variations during 1957–1994: importance of salinity. Journal of Geophysical Research: Oceans, 2002, 107 (C12): SRF 14-1–SRF 14-8

[29] Duchon C E. Lanczos filtering in one and two dimen-sions. Journal of Applied Meteorology and Climato-logy, 1979, 18(8): 1016–1022

A 2-D Ocean Modeling Study of the Multicentennial Variability of the Atlantic Meridional Overturning Circulation

WANG Shuxiang, YANG Haijun

Department of Atmospheric and Oceanic Sciences and Key Laboratory of Polar Atmosphere-ocean-ice System for Weather and Climate of Ministry of Education, Fudan University, Shanghai 200438; Corresponding author, E-mail: yanghj@fudan.edu.cn

Abstract A simple ocean circulation model is used to study the multicentennial variability of the Atlantic meridional overturning circulation (AMOC). Firstly, a latitude-averaged 2-D ocean circulation model is derived, and the control equation and key parameters for AMOC are established. Then, through numerical methods, a reasonable mean cli-mate of AMOC is simulated under appropriate boundary conditions and external forcings. To excite the multi-centennial variability of AMOC, a long-term integration is carried out by adding a random salinity flux forcing to the subpolar surface layer of the Northern Hemisphere. Power spectrum analysis results show that AMOC can exhibit oscillations with a period of about 260 years. The first spatial mode obtained from the EOF decomposition of AMOC exhibits signals primarily in the deeper ocean basins, indicating that the multicentennial variability may be closely linked to changes in the deeper ocean. The relationship between the oscillation period and the volume of the ocean basin as well as the strength of AMOC is also explored. Larger basin volumes are associated with longer oscilla- tion periods, while stronger AMOC correlates with shorter periods.

Key words Atlantic meridional overturning circulation (AMOC); simple ocean circulation model; multicentennial variability